Официальное опубликование правовых актов
ОФИЦИАЛЬНОЕ ОПУБЛИКОВАНИЕ
Приказ министерства архитектуры и градостроительства Воронежской области от 28.01.2026 № 45-01-04/22
"О внесении изменений в правила землепользования и застройки Краснознаменского сельского поселения Лискинского муниципального района Воронежской области"
(Зарегистрирован 17.02.2026 № 87)
Номер опубликования: 3601202602180002
Дата опубликования: 18.02.2026
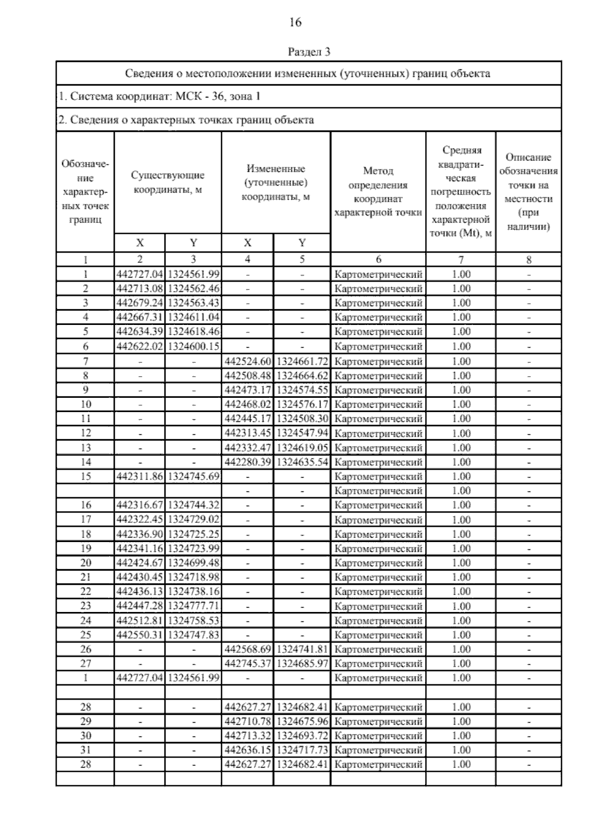
Страница №27 из 86:
Увеличить