Официальное опубликование правовых актов
ОФИЦИАЛЬНОЕ ОПУБЛИКОВАНИЕ
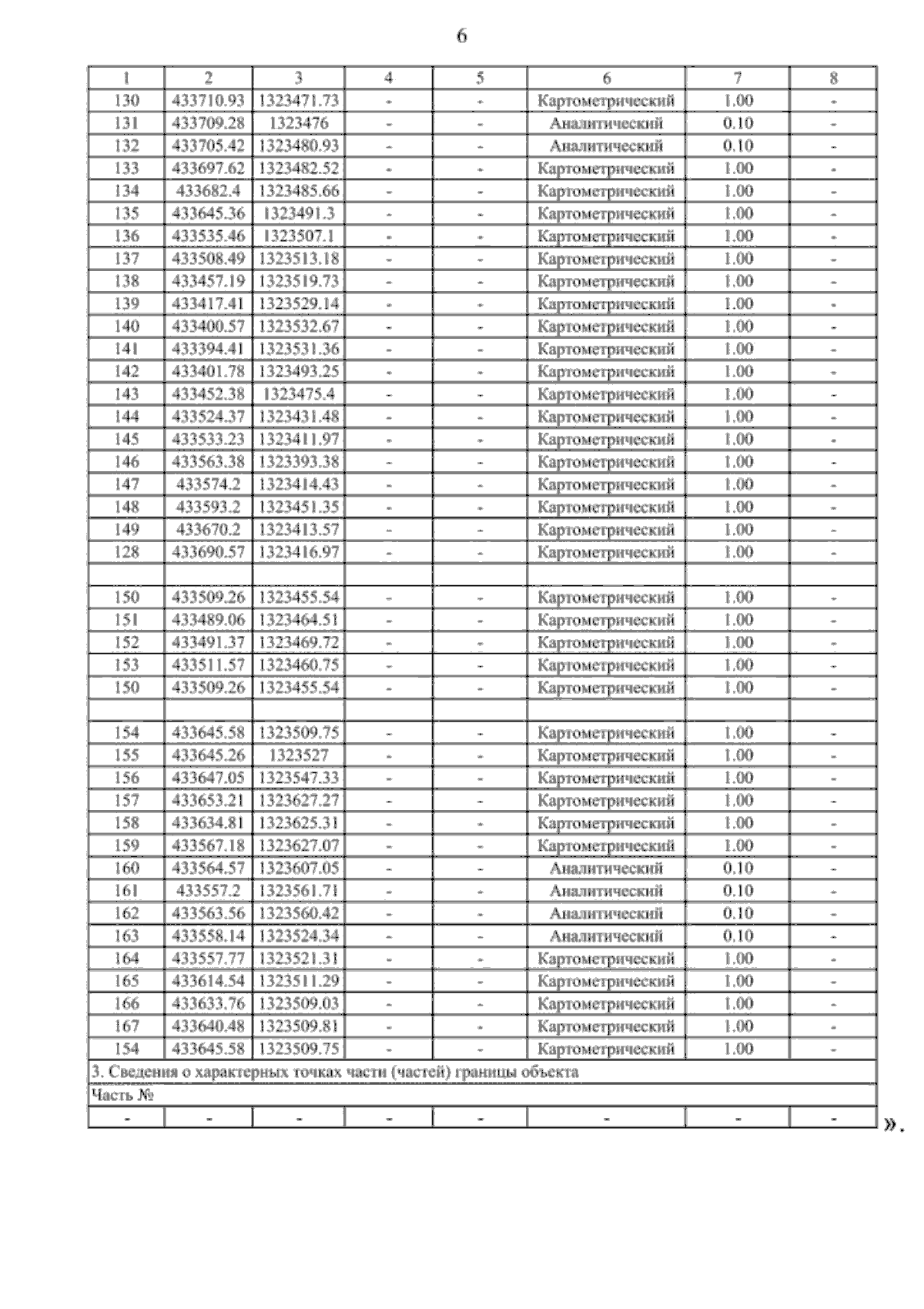
Приказ министерства архитектуры и градостроительства Воронежской области от 11.12.2025 № 45-01-04/585
"О внесении изменений в правила землепользования и застройки Залуженского сельского поселения Лискинского муниципального района Воронежской обласги"
(Зарегистрирован 24.12.2025 № 1697)
Номер опубликования: 3601202512290015
Дата опубликования: 29.12.2025
Страница №33 из 101:
Увеличить