Официальное опубликование правовых актов
ОФИЦИАЛЬНОЕ ОПУБЛИКОВАНИЕ
Приказ министерства архитектуры и градостроительства Воронежской области от 19.11.2025 № 45-01-04/549
"О внесении изменений в правила землепользования и застройки Губарёвского сельского поселения Семилукского муниципального района Воронежской области"
(Зарегистрирован 23.12.2025 № 1616)
Номер опубликования: 3601202512290014
Дата опубликования: 29.12.2025
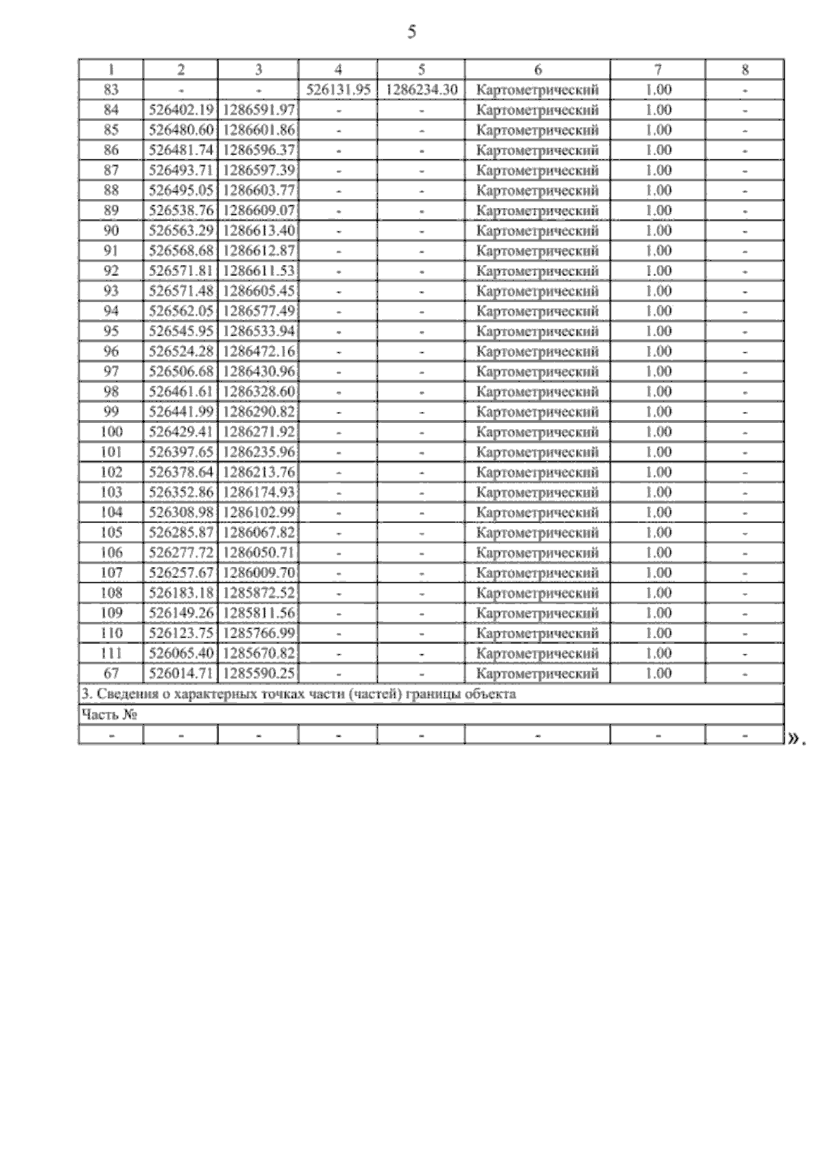
Страница №75 из 220:
Увеличить