Официальное опубликование правовых актов
ОФИЦИАЛЬНОЕ ОПУБЛИКОВАНИЕ
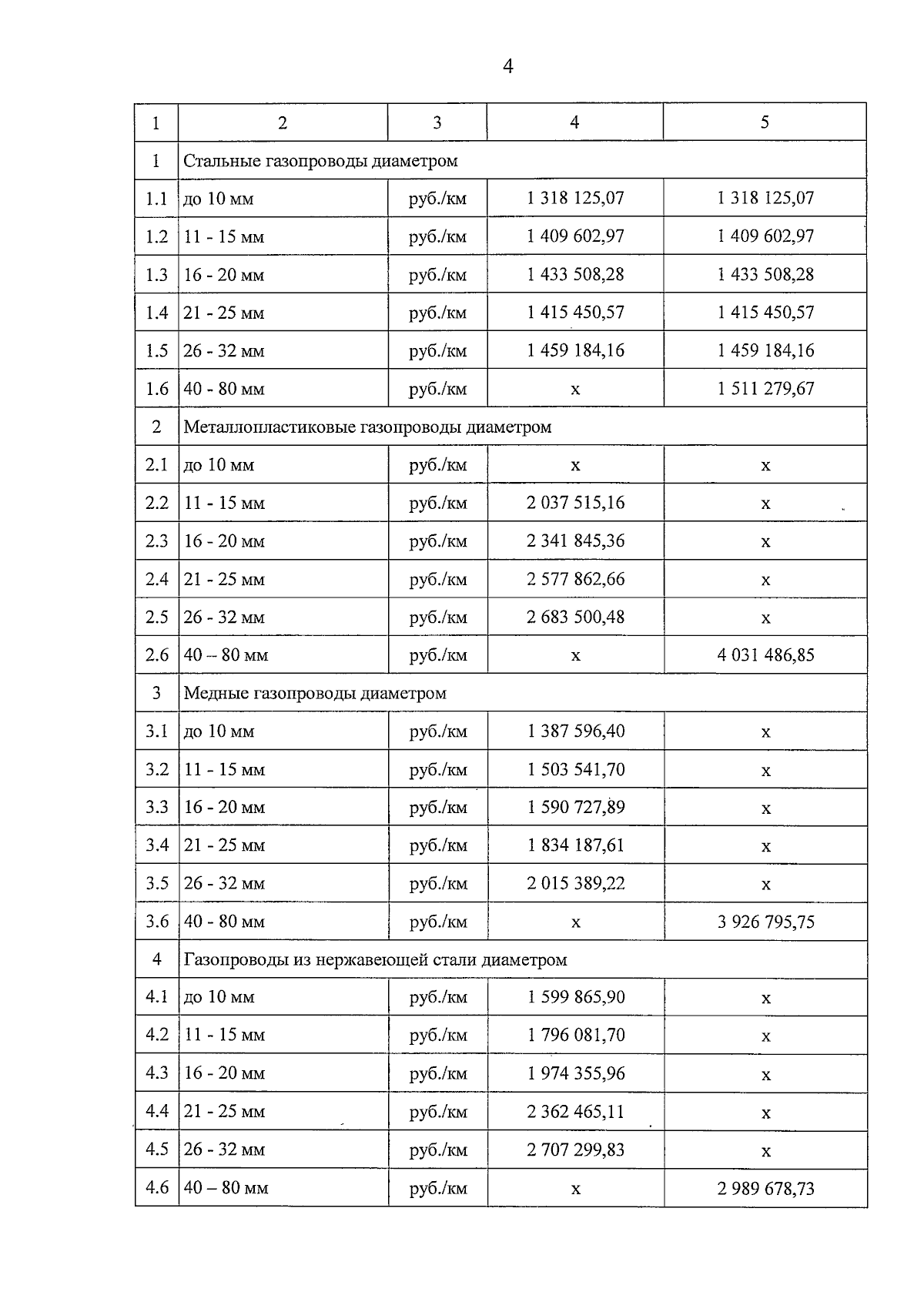
Приказ министерства тарифного регулирования Воронежской области от 25.12.2025 № 68/11
"Об установлении стандартизированных тарифных ставок на покрытие расходов открытого акционерного общества "Газпром газораспределение Воронеж", определяющих величину платы за технологическое присоединение газоиспользующего оборудования к сетям газораспределения на территории Воронежской области, на 2026 год"
(Зарегистрирован 26.12.2025 № 1988)
Номер опубликования: 3601202512270107
Дата опубликования: 27.12.2025
Страница №16 из 17:
Увеличить