Официальное опубликование правовых актов
ОФИЦИАЛЬНОЕ ОПУБЛИКОВАНИЕ
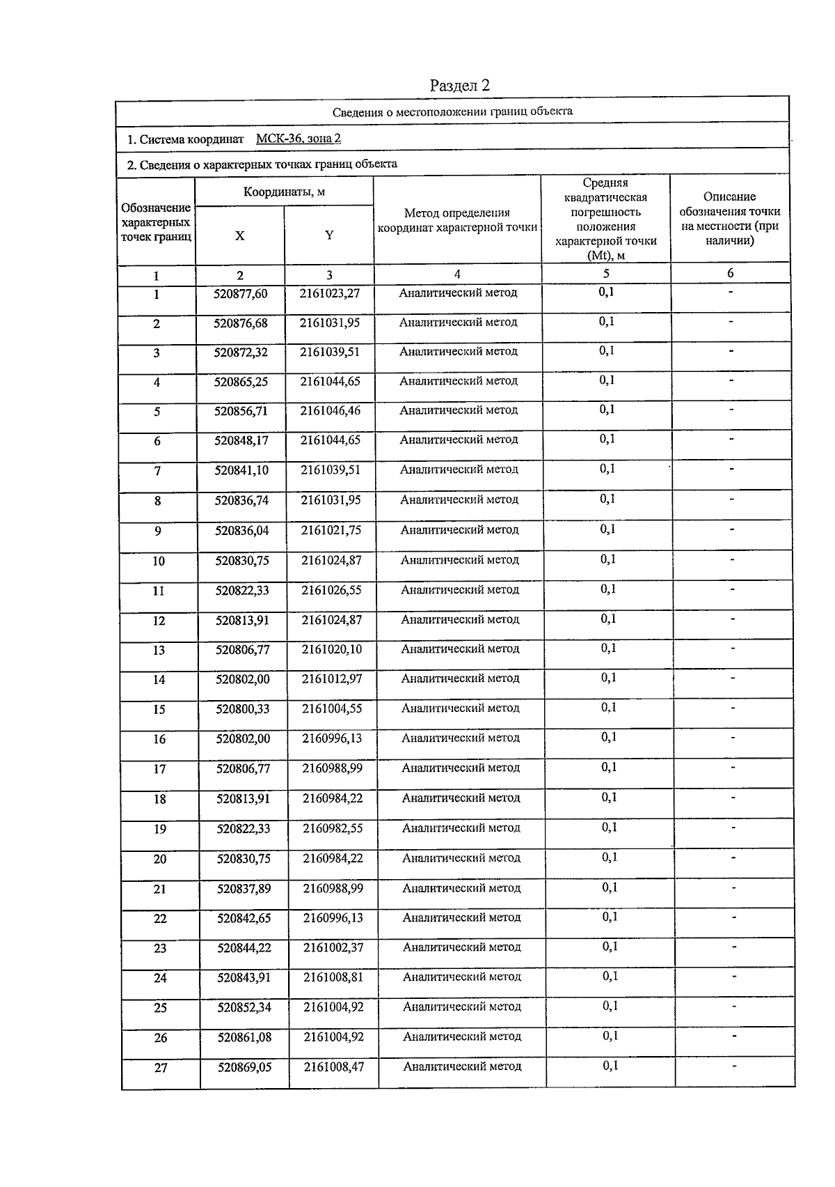
Приказ министерства природных ресурсов и экологии Воронежской области от 01.12.2025 № 491
"Об установлении зон санитарной охраны двух эксплуатационных скважин № 12/2, № б/н/3 для хозяйственно-бытового и технологического водоснабжения предприятия ООО "Семзавод"
(Зарегистрирован 16.12.2025 № 1482)
Номер опубликования: 3601202512190003
Дата опубликования: 19.12.2025
Страница №13 из 19:
Увеличить