Официальное опубликование правовых актов
ОФИЦИАЛЬНОЕ ОПУБЛИКОВАНИЕ
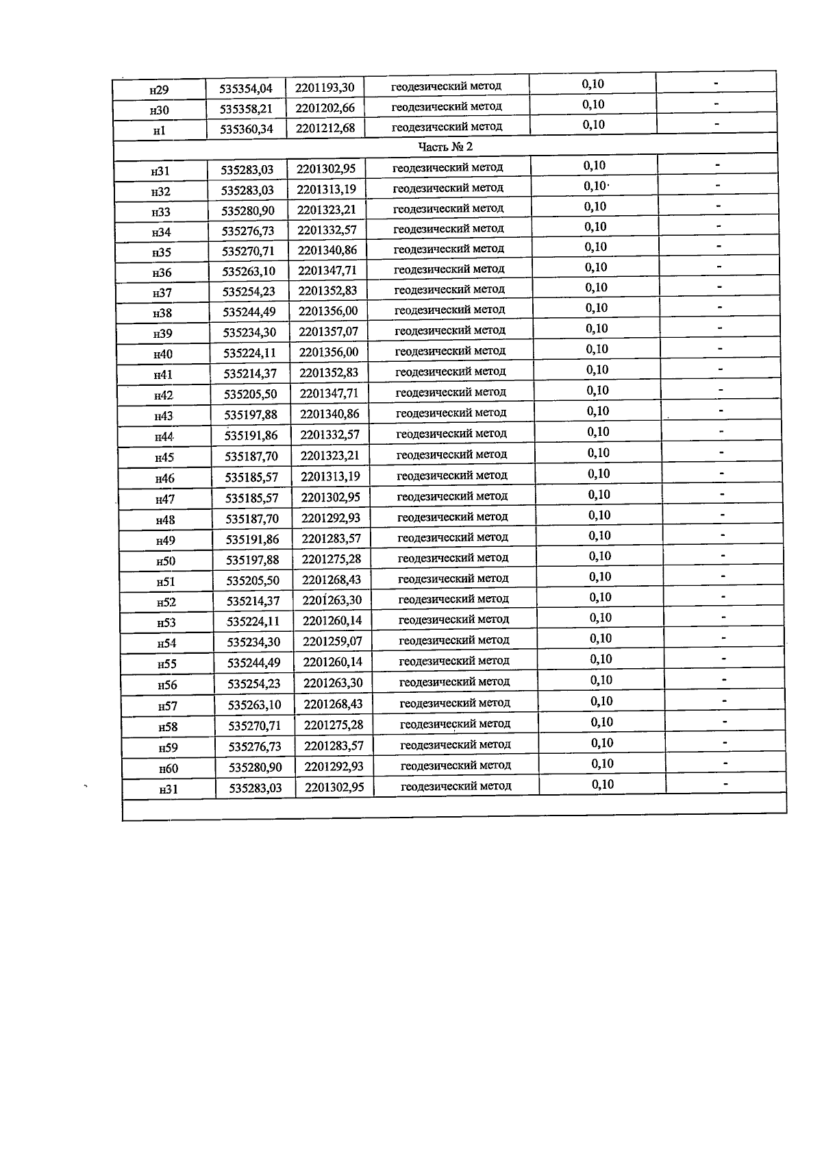
Приказ министерства природных ресурсов и экологии Воронежской области от 21.11.2025 № 474
"Об установлении зон санитарной охраны существующей скважины № 1 для питьевого, хозяйственно-бытового и технологического водоснабжения ООО "Пятый элемент"
(Зарегистрирован 05.12.2025 № 1375)
Номер опубликования: 3601202512090007
Дата опубликования: 09.12.2025
Страница №13 из 19:
Увеличить