Официальное опубликование правовых актов
ОФИЦИАЛЬНОЕ ОПУБЛИКОВАНИЕ
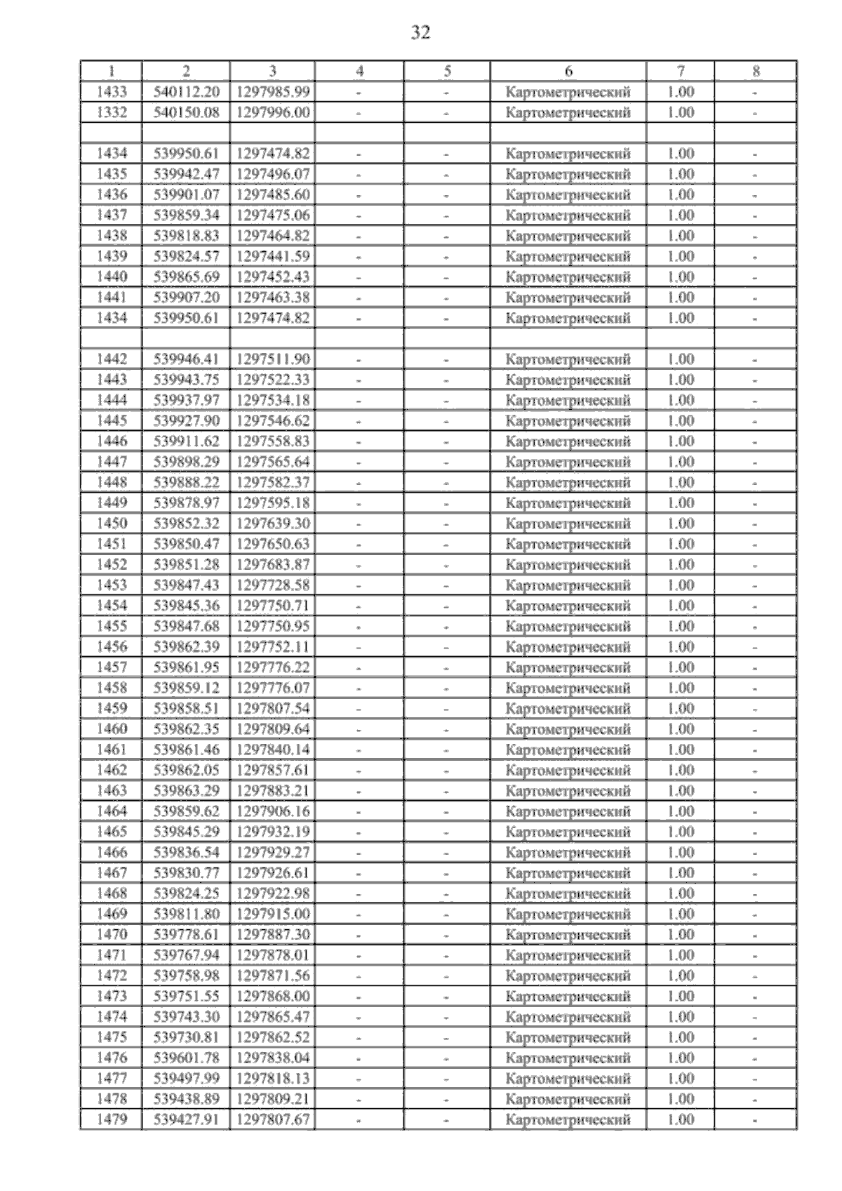
Приказ министерства архитектуры и градостроительства Воронежской области от 31.10.2025 № 45-01-04/545
"О внесении изменений в правила землепользования и застройки Новоживотинновского сельского поселения Рамонского муниципального района Воронежской области"
(Зарегистрирован 25.11.2025 № 1322)
Номер опубликования: 3601202511270002
Дата опубликования: 27.11.2025
Страница №65 из 68:
Увеличить