Официальное опубликование правовых актов
ОФИЦИАЛЬНОЕ ОПУБЛИКОВАНИЕ
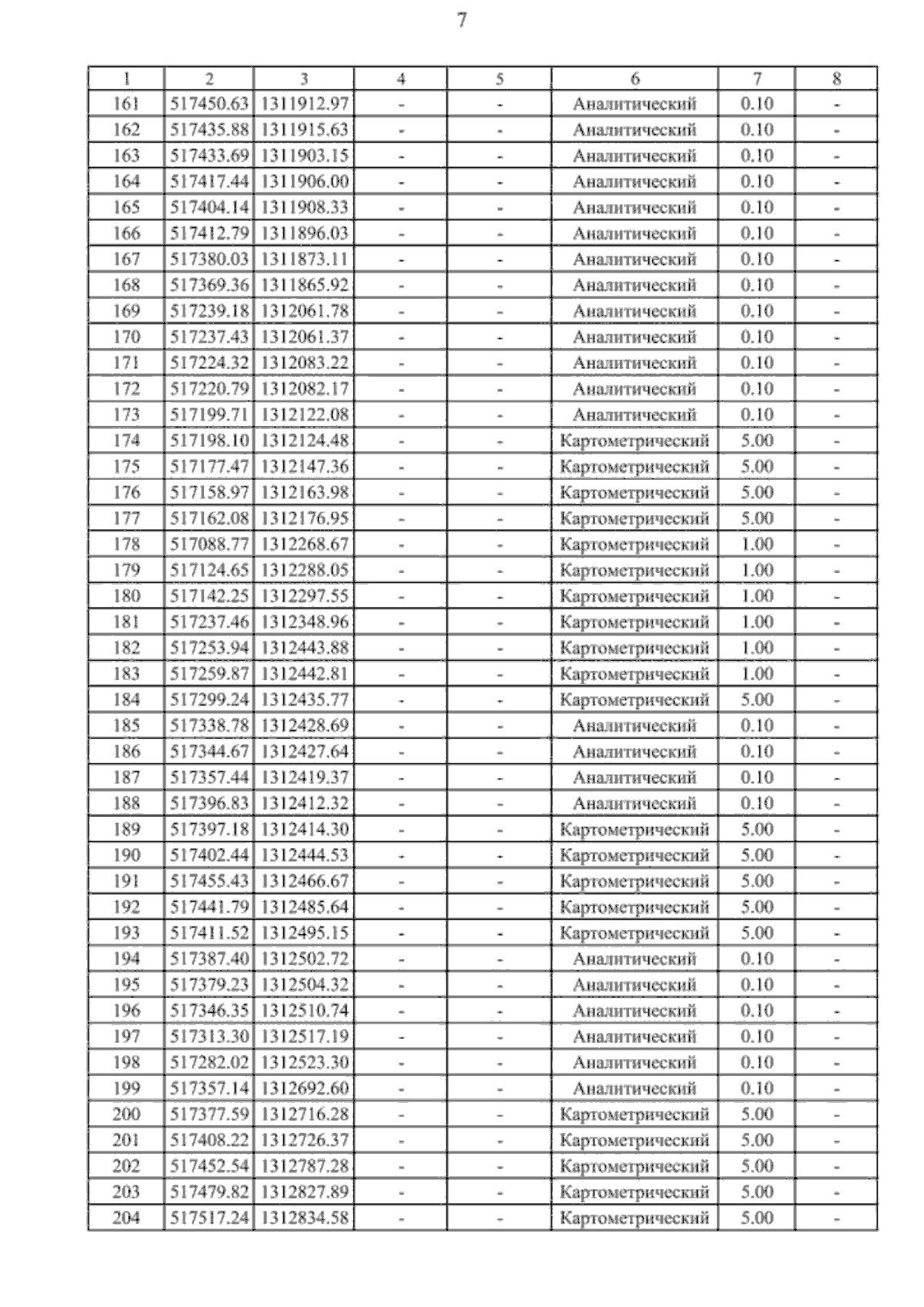
Приказ министерства архитектуры и градостроительства Воронежской области от 30.10.2025 № 45-01-04/541
"О внесении изменений в правила землепользования и застройки Бабяковского сельского поселения Новоусманского муниципального района Воронежской области"
(Зарегистрирован 25.11.2025 № 1320)
Номер опубликования: 3601202511270001
Дата опубликования: 27.11.2025
Страница №13 из 79:
Увеличить