Официальное опубликование правовых актов
ОФИЦИАЛЬНОЕ ОПУБЛИКОВАНИЕ
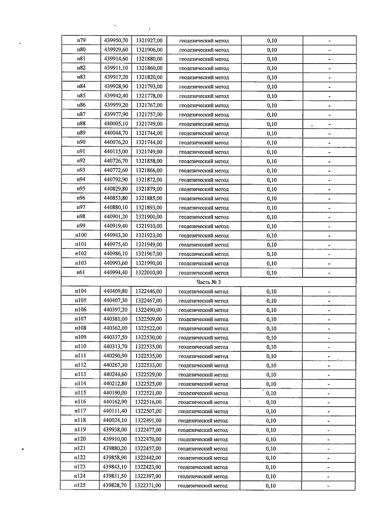
Приказ министерства природных ресурсов и экологии Воронежской области от 13.10.2025 № 429
"Об установлении зон санитарной охраны шести существующих водозаборных скважин № 3, № 4, № 80336 (5), № 12, № 10, № 6 для питьевого, хозяйственно-бытового, технического водоснабжения железнодорожной станции Лиски Юго-Восточной дирекции по тепловодоснабжению – с.п. Центральной ДТВ - филиала ОАО "РЖД" и населения"
(Зарегистрирован 23.10.2025 № 1185)
Номер опубликования: 3601202510270006
Дата опубликования: 27.10.2025
Страница №21 из 23:
Увеличить