Официальное опубликование правовых актов
ОФИЦИАЛЬНОЕ ОПУБЛИКОВАНИЕ
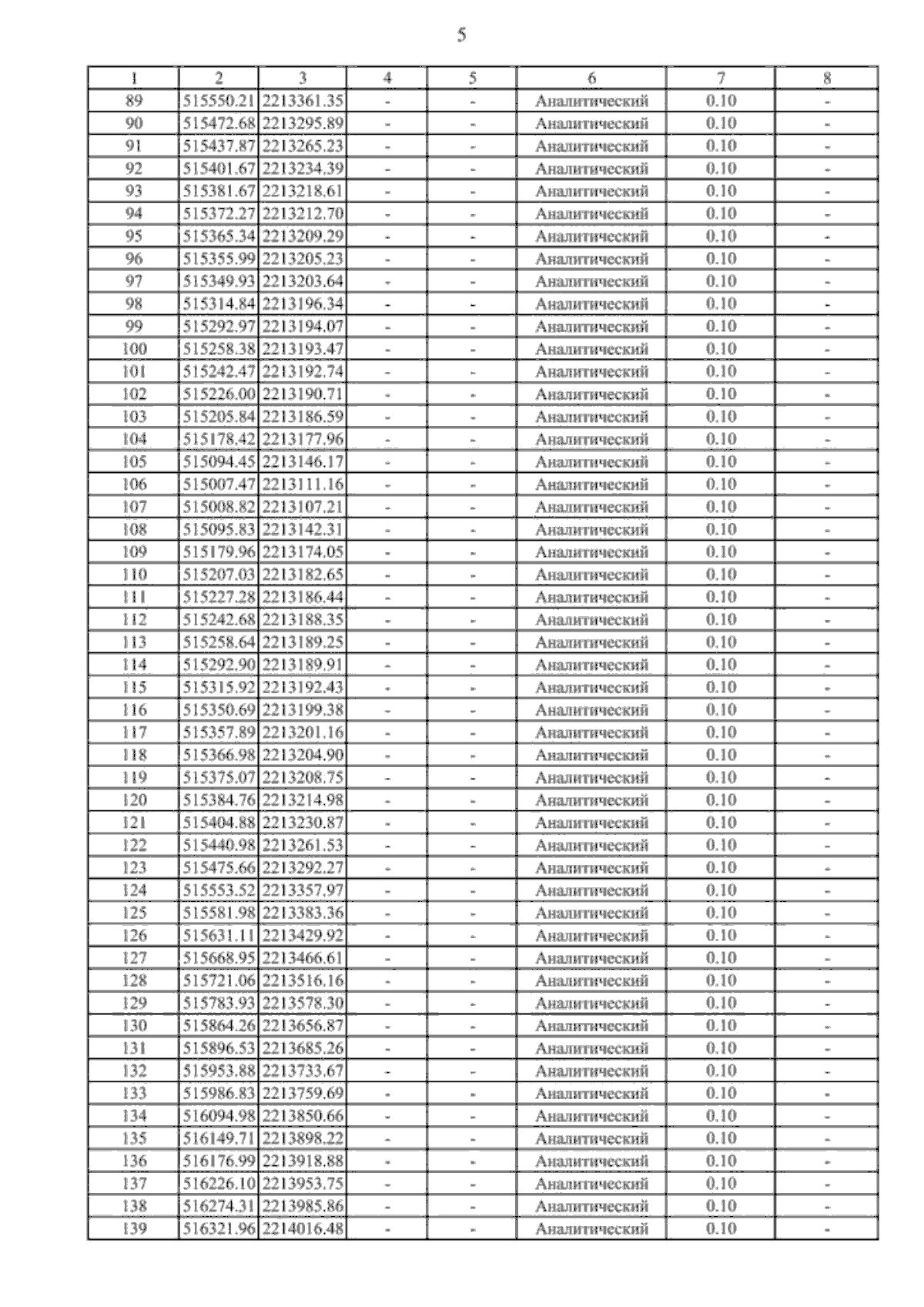
Приказ министерства архитектуры и градостроительства Воронежской области от 18.09.2025 № 45-01-04/504
"О внесении изменений в правила землепользования и застройки Буравцовского сельского поселения Эртильского муниципального района Воронежской области"
(Зарегистрирован 08.10.2025 № 1144)
Номер опубликования: 3601202510100010
Дата опубликования: 10.10.2025
Страница №26 из 70:
Увеличить