Официальное опубликование правовых актов
ОФИЦИАЛЬНОЕ ОПУБЛИКОВАНИЕ
Приказ министерства архитектуры и градостроительства Воронежской области от 11.09.2025 № 45-01-04/481
"О внесении изменений в правила землепользования и застройки Старокалитвенского сельского поселения Россошанского муниципального района Воронежской области"
(Зарегистрирован 06.10.2025 № 1096)
Номер опубликования: 3601202510070012
Дата опубликования: 07.10.2025
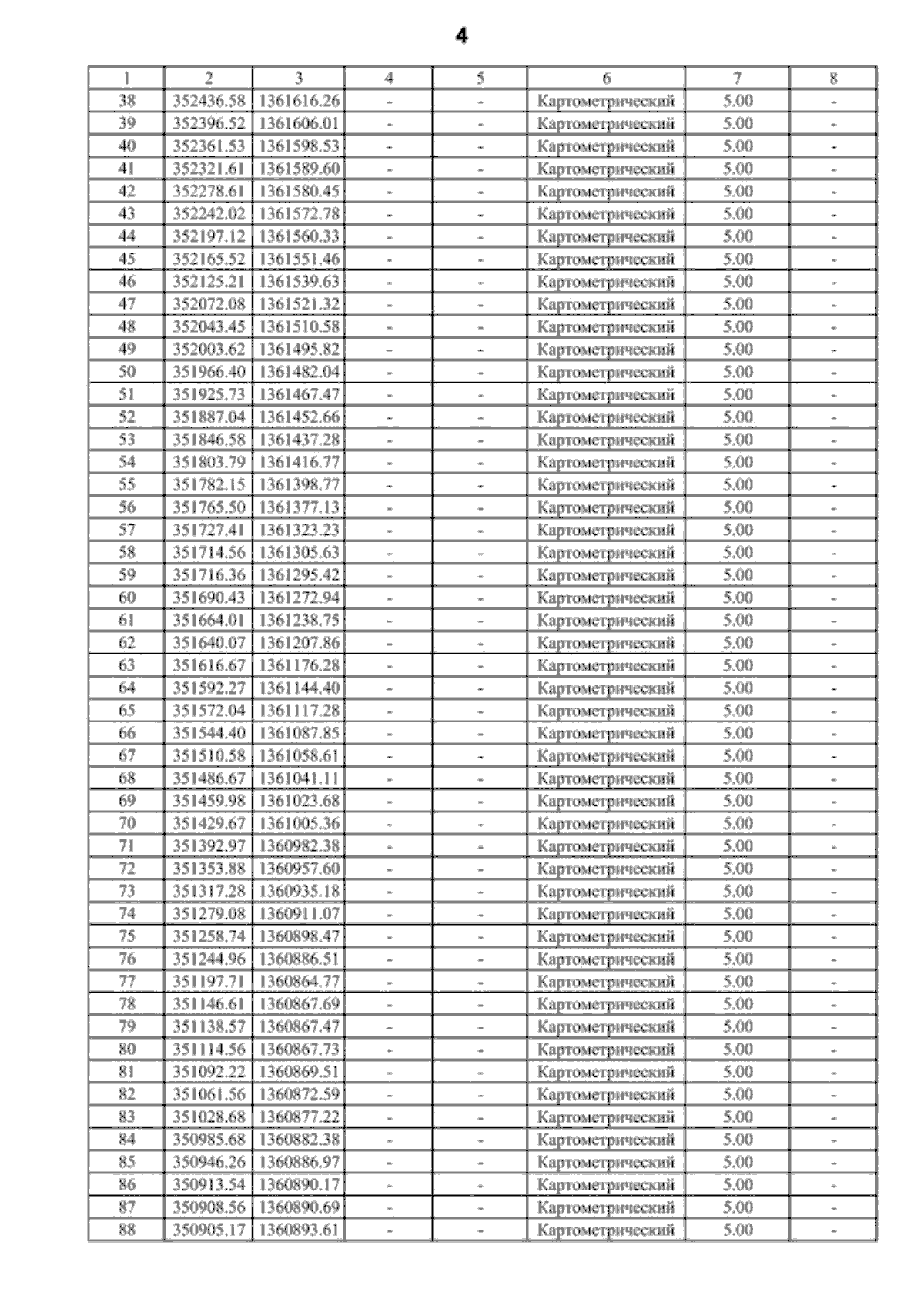
Страница №13 из 35:
Увеличить