Официальное опубликование правовых актов
ОФИЦИАЛЬНОЕ ОПУБЛИКОВАНИЕ
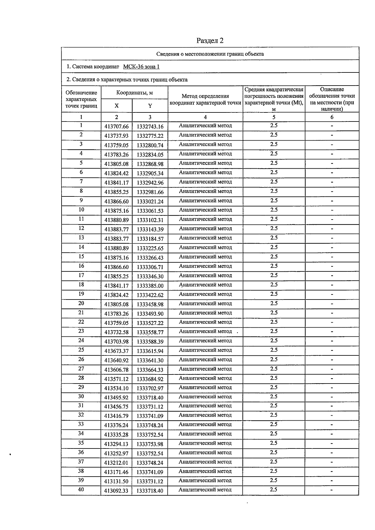
Приказ министерства природных ресурсов и экологии Воронежской области от 11.09.2025 № 394
"Об установлении зон санитарной охраны водозабора в составе двух существующих скважин №№ 1, 002 для питьевого, хозяйственно-бытового водоснабжения объектов ООО "Заречное"
(Зарегистрирован 26.09.2025 № 1047)
Номер опубликования: 3601202510020002
Дата опубликования: 02.10.2025
Страница №16 из 19:
Увеличить