Официальное опубликование правовых актов
ОФИЦИАЛЬНОЕ ОПУБЛИКОВАНИЕ
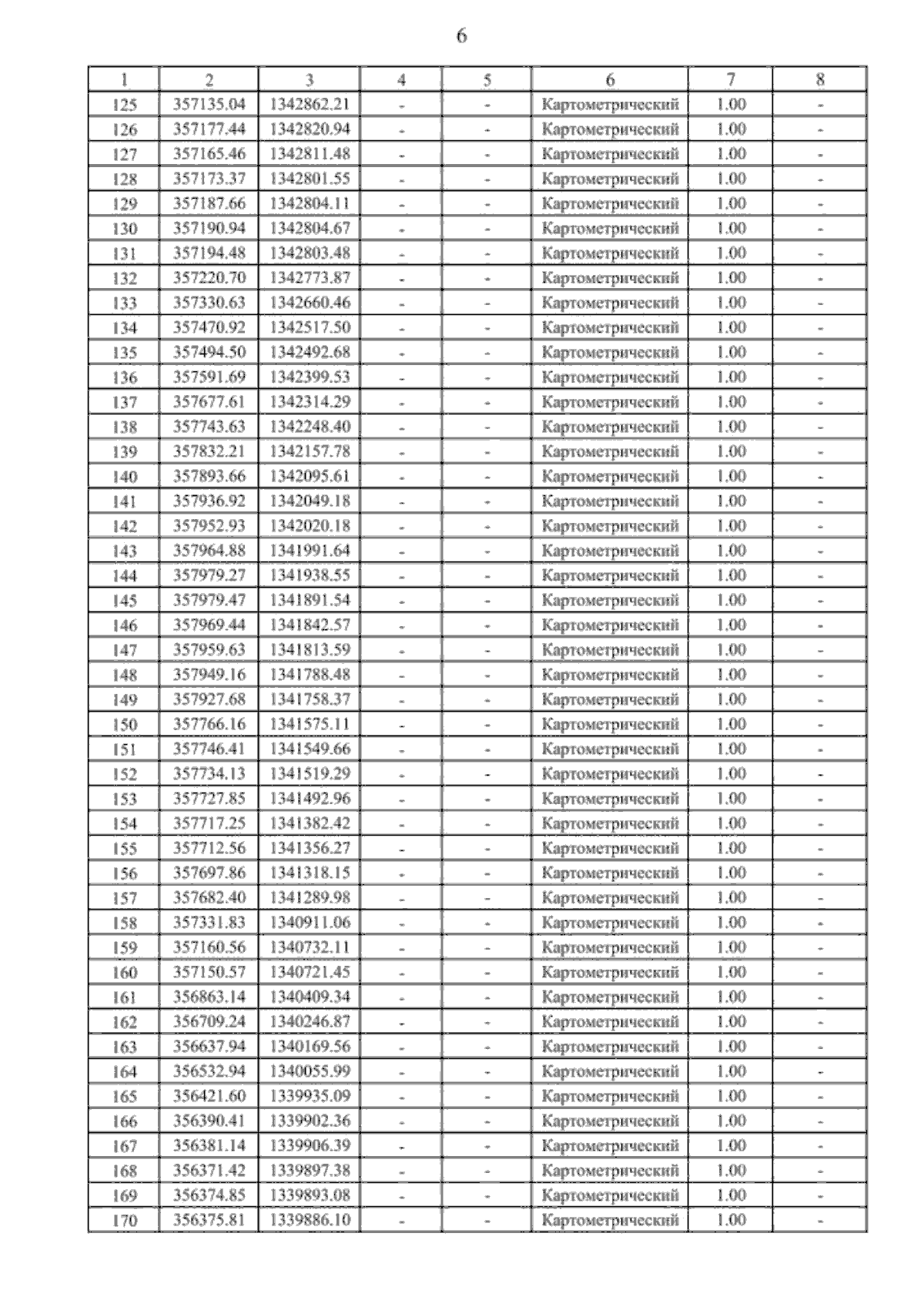
Приказ министерства архитектуры и градостроительства Воронежской области от 28.08.2025 № 45-01-04/444
"О внесении изменений в правила землепользования и застройки Алейниковского сельского поселения Россошанского муниципального района Воронежской области"
(Зарегистрирован 22.09.2025 № 1018)
Номер опубликования: 3601202509220009
Дата опубликования: 22.09.2025
Страница №29 из 57:
Увеличить