Официальное опубликование правовых актов
ОФИЦИАЛЬНОЕ ОПУБЛИКОВАНИЕ
Приказ министерства архитектуры и градостроительства Воронежской области от 13.08.2025 № 45-01-04/397
"О внесении изменений в правила землепользования и застройки Россошанского сельского поселения Репьёвского муниципального района Воронежской области"
(Зарегистрирован 02.09.2025 № 951)
Номер опубликования: 3601202509040004
Дата опубликования: 04.09.2025
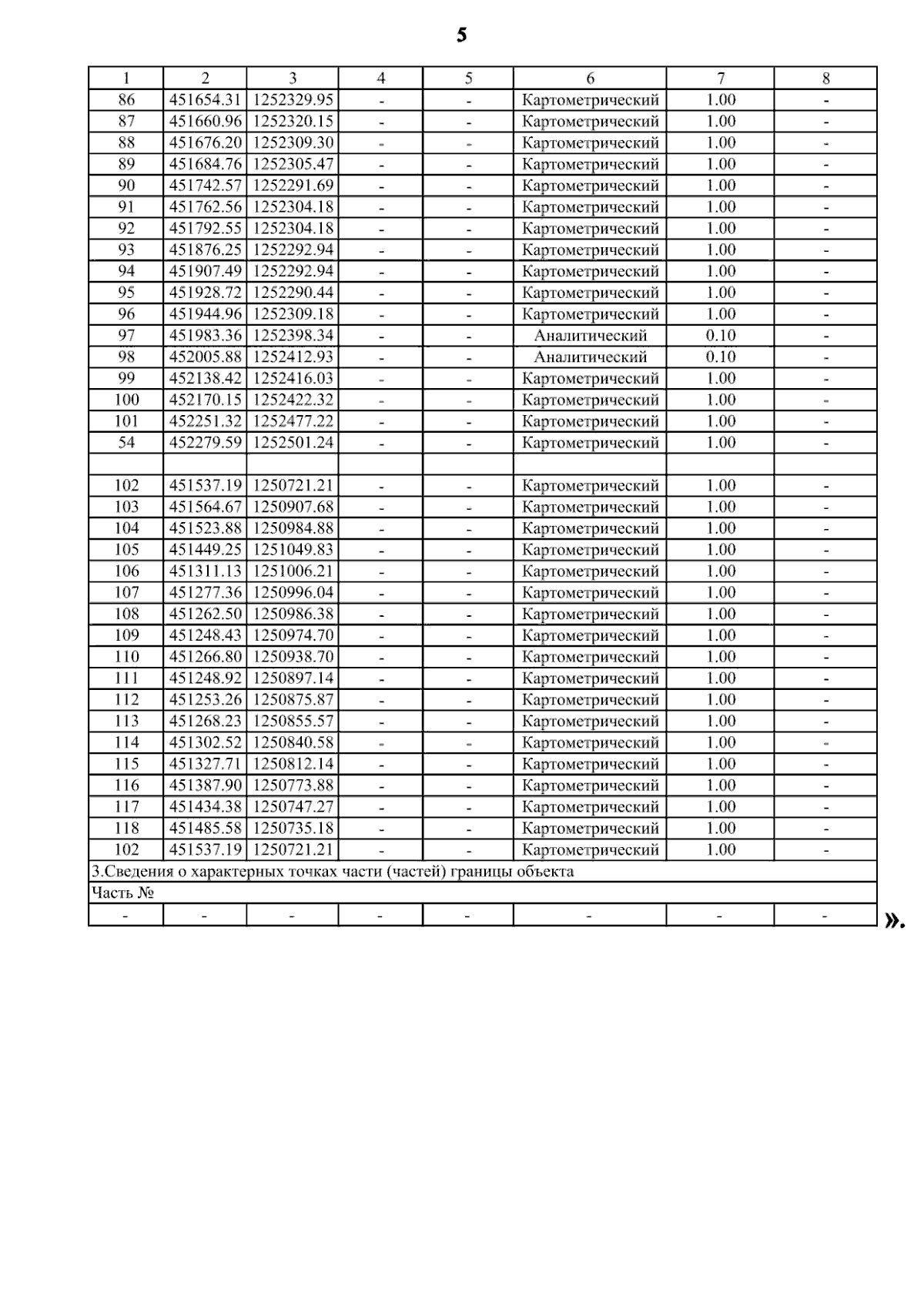
Страница №30 из 57:
Увеличить