Официальное опубликование правовых актов
ОФИЦИАЛЬНОЕ ОПУБЛИКОВАНИЕ
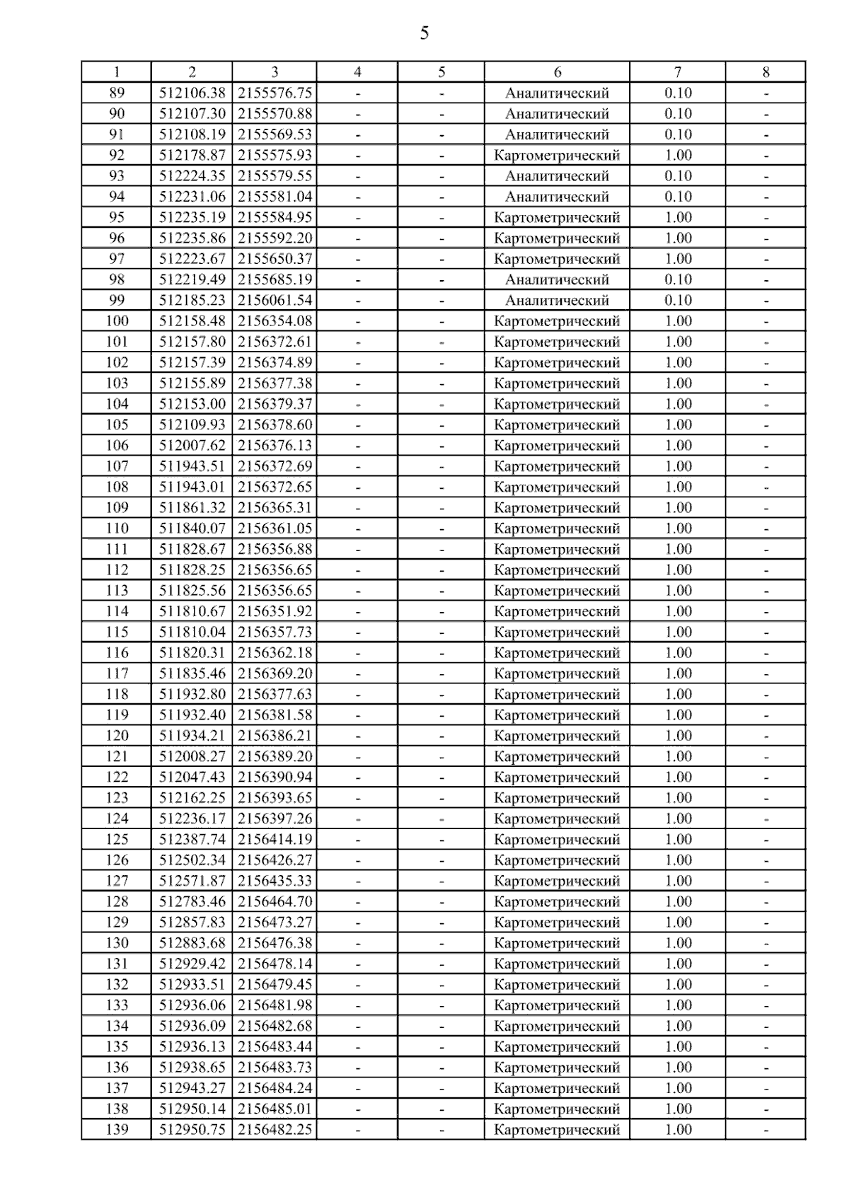
Приказ министерства архитектуры и градостроительства Воронежской области от 18.08.2025 № 45-01-04/422
"О внесении изменений в правила землепользования и застройки Панинского городского поселения Панинского муниципального района Воронежской области"
(Зарегистрирован 02.09.2025 № 954)
Номер опубликования: 3601202509040002
Дата опубликования: 04.09.2025
Страница №49 из 67:
Увеличить