Официальное опубликование правовых актов
ОФИЦИАЛЬНОЕ ОПУБЛИКОВАНИЕ
Приказ министерства архитектуры и градостроительства Воронежской области от 13.08.2025 № 45-01-04/398
"О внесении изменений в правила землепользования и застройки Нижнекатуховского сельского поселения Новоусманского муниципального района Воронежской области"
(Зарегистрирован 27.08.2025 № 935)
Номер опубликования: 3601202508270005
Дата опубликования: 27.08.2025
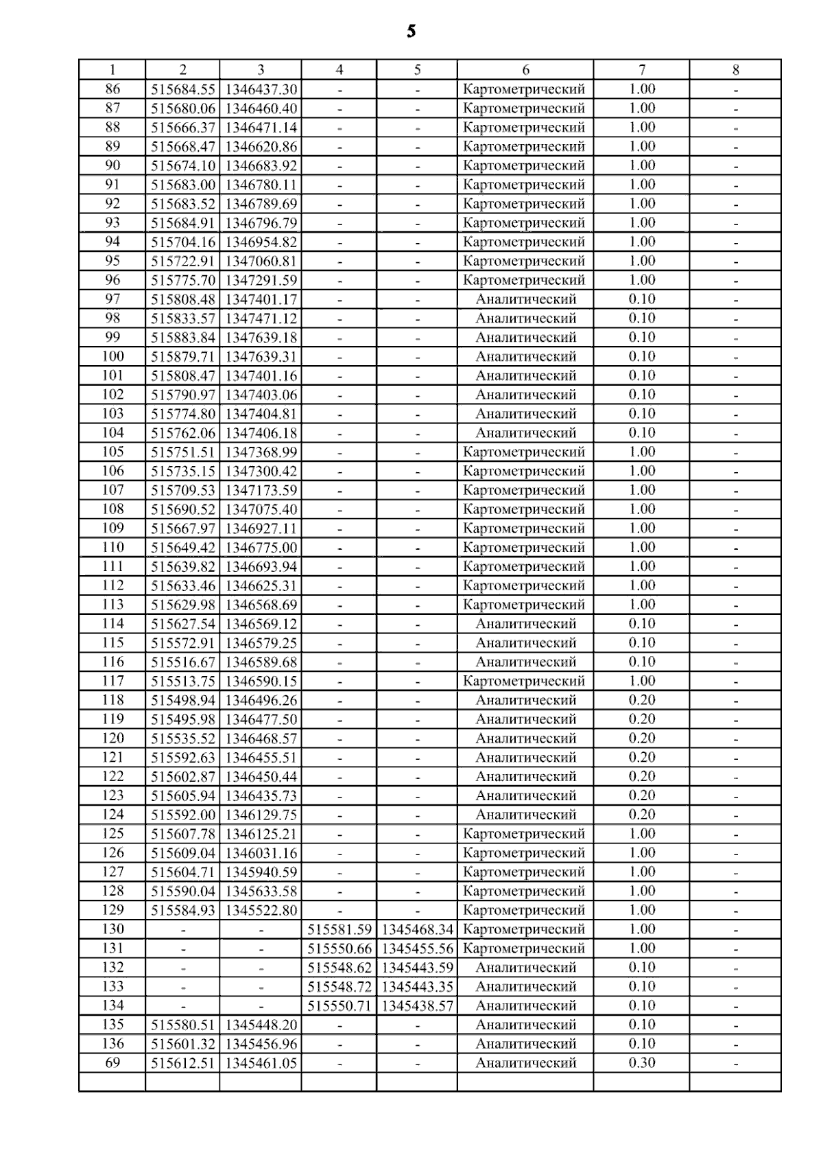
Страница №23 из 43:
Увеличить