Официальное опубликование правовых актов
ОФИЦИАЛЬНОЕ ОПУБЛИКОВАНИЕ
Приказ министерства архитектуры и градостроительства Воронежской области от 13.08.2025 № 45-01-04/396
"О внесении изменений в правила землепользования и застройки Сагуновского сельского поселения Подгоренского муниципального района Воронежской области"
(Зарегистрирован 27.08.2025 № 934)
Номер опубликования: 3601202508270004
Дата опубликования: 27.08.2025
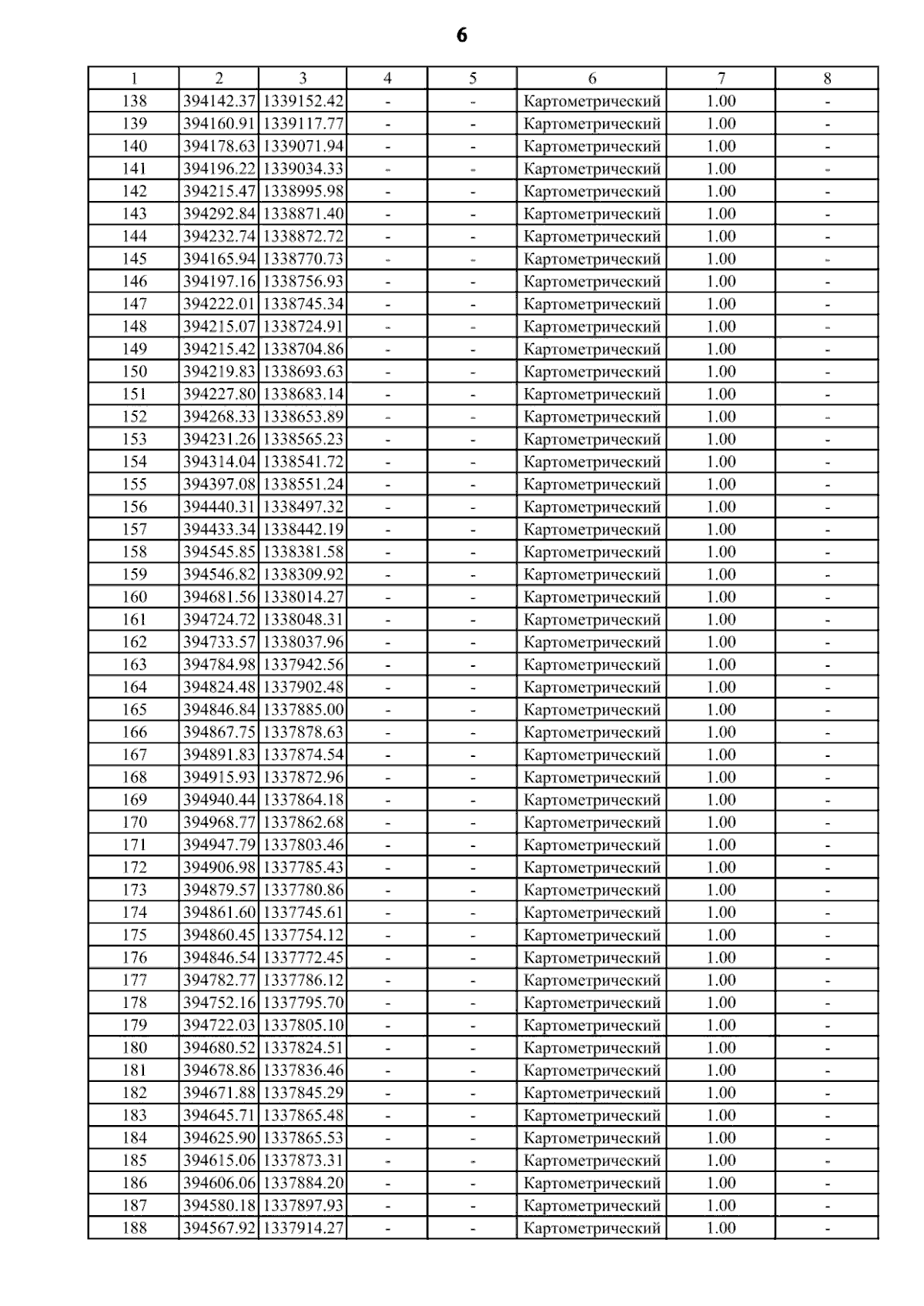
Страница №12 из 16:
Увеличить