Официальное опубликование правовых актов
ОФИЦИАЛЬНОЕ ОПУБЛИКОВАНИЕ
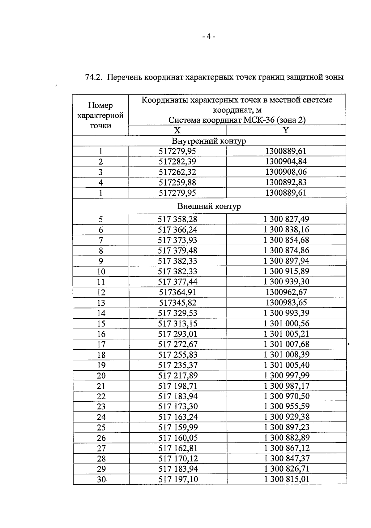
Приказ управления по охране объектов культурного наследия Воронежской области от 01.08.2025 № 71-01-05/153
"О внесении изменения в приказ управления по охране объектов культурного наследия Воронежской области от 26.10.2018 № 71-01-07/228"
(Зарегистрирован 25.08.2025 № 929)
Номер опубликования: 3601202508250002
Дата опубликования: 25.08.2025
Страница №4 из 5:
Увеличить