Официальное опубликование правовых актов
ОФИЦИАЛЬНОЕ ОПУБЛИКОВАНИЕ
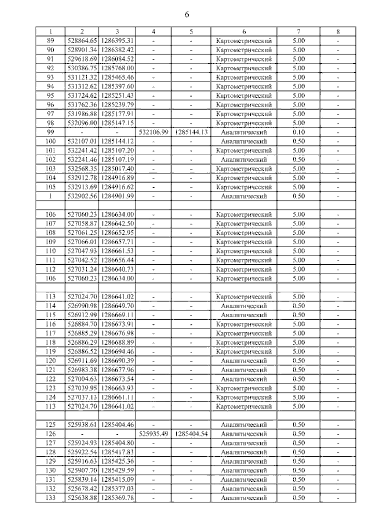
Приказ министерства архитектуры и градостроительства Воронежской области от 01.08.2025 № 45-01-04/367
"О внесении изменений в правила землепользования и застройки Губарёвского сельского поселения Семилукского муниципального района Воронежской области"
(Зарегистрирован 19.08.2025 № 876)
Номер опубликования: 3601202508200022
Дата опубликования: 20.08.2025
Страница №144 из 162:
Увеличить