Официальное опубликование правовых актов
ОФИЦИАЛЬНОЕ ОПУБЛИКОВАНИЕ
Приказ министерства природных ресурсов и экологии Воронежской области от 26.06.2025 № 272
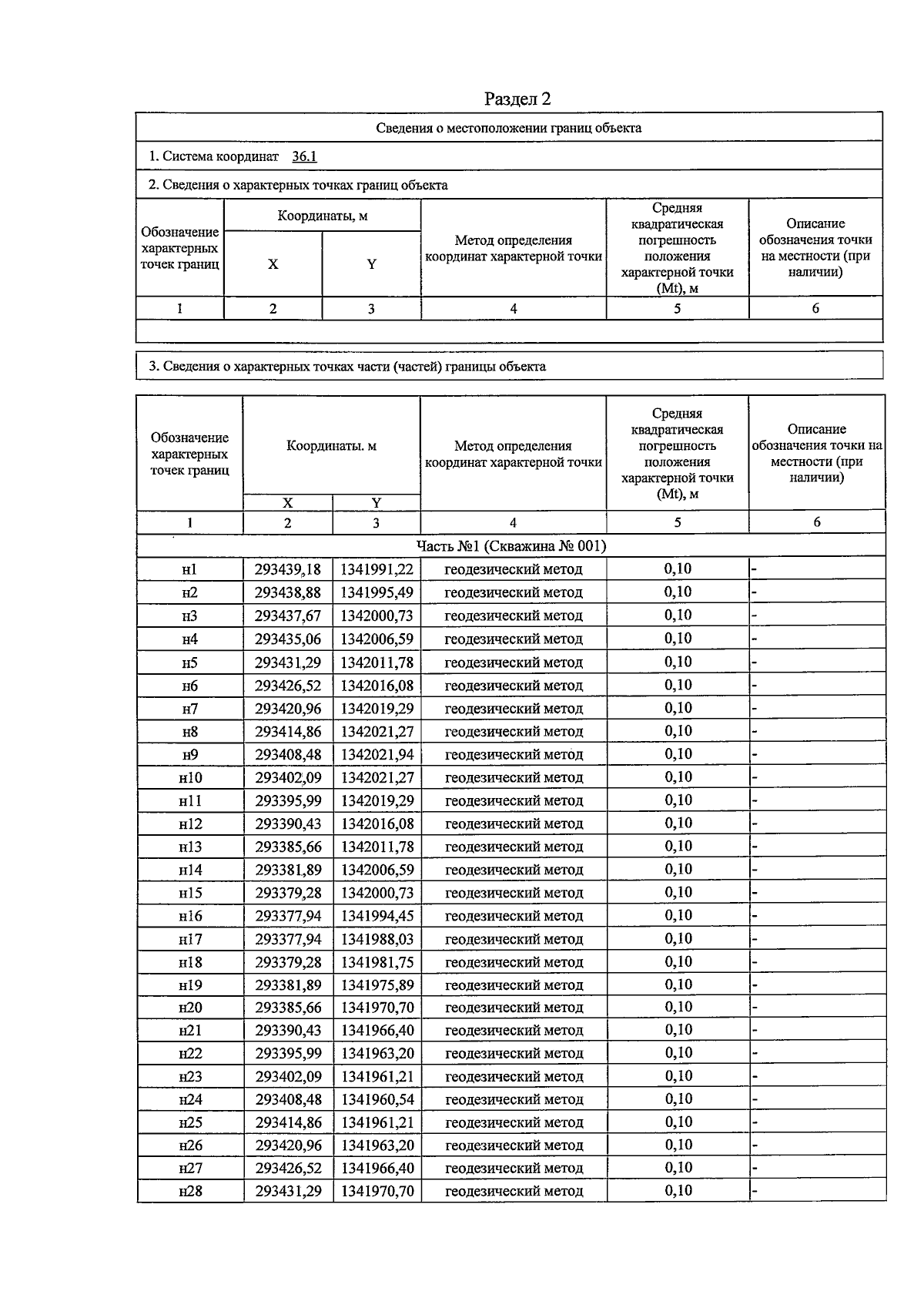
"Об установлении зон санитарной охраны существующих скважин № 001, № 002, № 003, № 004 для питьевого, хозяйственно-бытового и технологического водоснабжения ООО "СХП "Новомарковское"
(Зарегистрирован 11.07.2025 № 740)
Номер опубликования: 3601202507160008
Дата опубликования: 16.07.2025
Страница №15 из 23:
Увеличить