Официальное опубликование правовых актов
ОФИЦИАЛЬНОЕ ОПУБЛИКОВАНИЕ
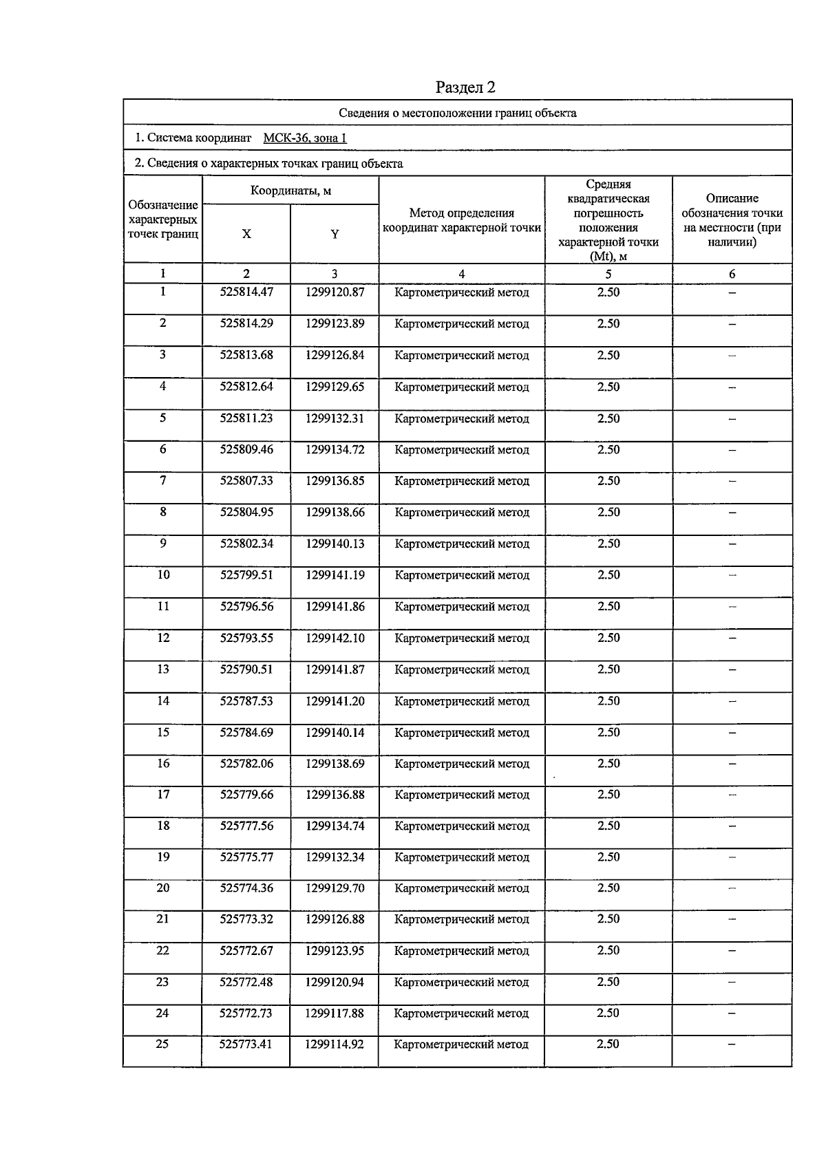
Приказ министерства природных ресурсов и экологии Воронежской области от 18.06.2025 № 263
"Об установлении зон санитарной охраны существующей скважины № 1 для питьевого и хозяйственно-бытового водоснабжения ООО "Гранд Сервис"
(Зарегистрирован 27.06.2025 № 718)
Номер опубликования: 3601202507030009
Дата опубликования: 03.07.2025
Страница №12 из 18:
Увеличить