Официальное опубликование правовых актов
ОФИЦИАЛЬНОЕ ОПУБЛИКОВАНИЕ
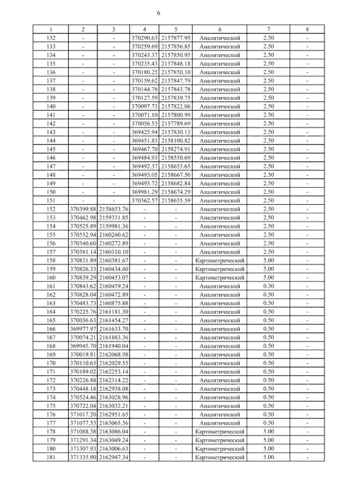
Приказ министерства архитектуры и градостроительства Воронежской области от 22.05.2025 № 45-01-04/270
"О внесении изменений в правила землепользования и застройки Русско-Буйловского сельского поселения Павловского муниципального района Воронежской области"
(Зарегистрирован 10.06.2025 № 646)
Номер опубликования: 3601202506160002
Дата опубликования: 16.06.2025
Страница №33 из 55:
Увеличить