Официальное опубликование правовых актов
ОФИЦИАЛЬНОЕ ОПУБЛИКОВАНИЕ
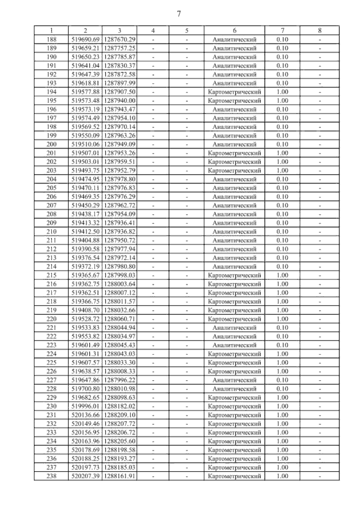
Приказ министерства архитектуры и градостроительства Воронежской области от 16.05.2025 № 45-01-04/242
"О внесении изменений в правила землепользования и застройки Семилукского сельского поселения Семилукского муниципального района Воронежской области"
(Зарегистрирован 26.05.2025 № 575)
Номер опубликования: 3601202505270001
Дата опубликования: 27.05.2025
Страница №15 из 59:
Увеличить