Официальное опубликование правовых актов
ОФИЦИАЛЬНОЕ ОПУБЛИКОВАНИЕ
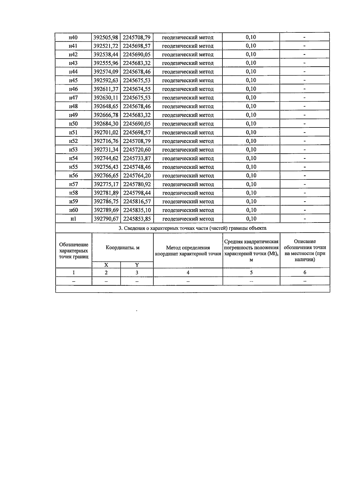
Приказ министерства природных ресурсов и экологии Воронежской области от 29.04.2025 № 196
"Об установлении зон санитарной охраны водозабора в составе одной существующей скважины № 5340/2 для питьевого, хозяйственно-бытового водоснабжения населения, организаций и объектов соцкультбыта с. Коренное Муниципального предприятия Калачеевского муниципального района Воронежской области "Районное водоснабжение"
(Зарегистрирован 13.05.2025 № 527)
Номер опубликования: 3601202505150012
Дата опубликования: 15.05.2025
Страница №17 из 18:
Увеличить