Официальное опубликование правовых актов
ОФИЦИАЛЬНОЕ ОПУБЛИКОВАНИЕ
Приказ министерства природных ресурсов и экологии Воронежской области от 29.04.2025 № 194
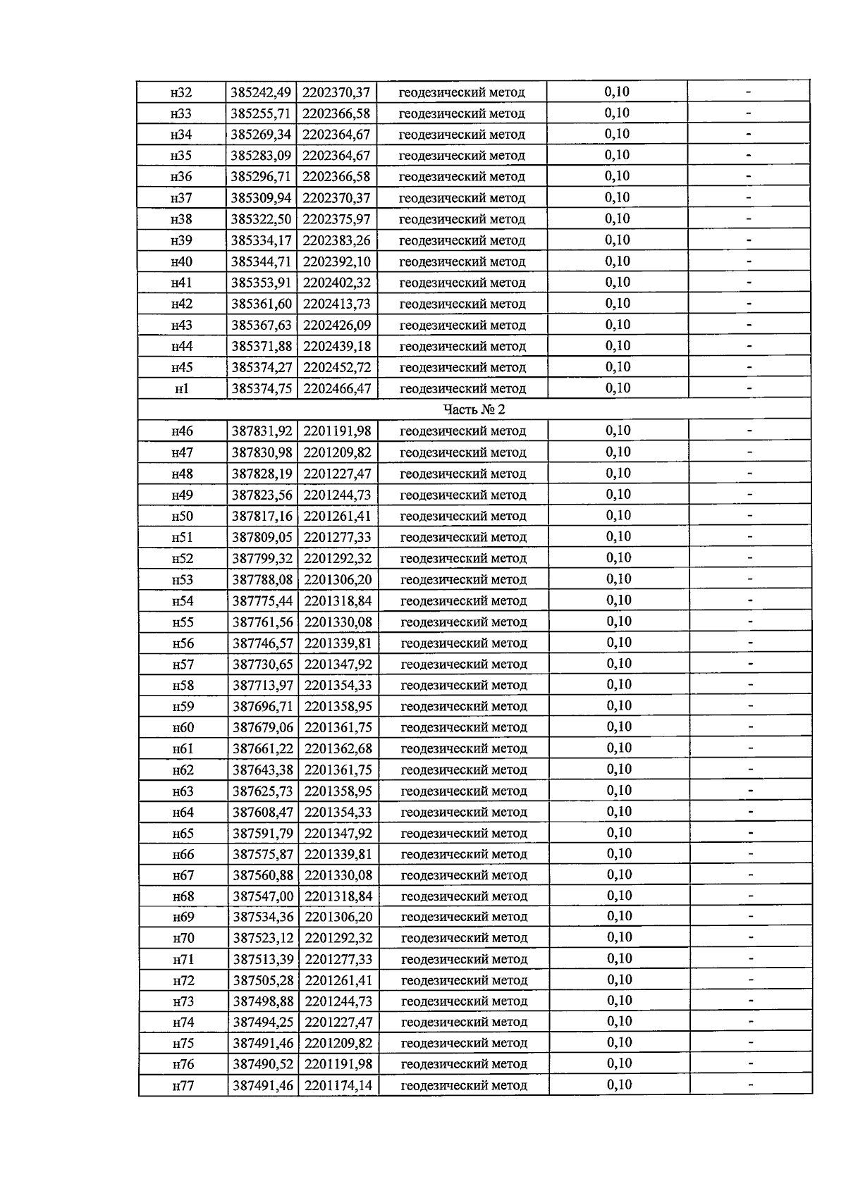
"Об установлении зон санитарной охраны водозабора в составе двух существующих водозаборных скважин №№ 5267, 5402 и водопроводных сооружений для питьевого, хозяйственно-бытового водоснабжения населения, организаций и объектов соцкультбыта Муниципального предприятия Калачеевского муниципального района Воронежской области "Районное водоснабжение"
(Зарегистрирован 13.05.2025 № 525)
Номер опубликования: 3601202505150005
Дата опубликования: 15.05.2025
Страница №18 из 20:
Увеличить