Официальное опубликование правовых актов
ОФИЦИАЛЬНОЕ ОПУБЛИКОВАНИЕ
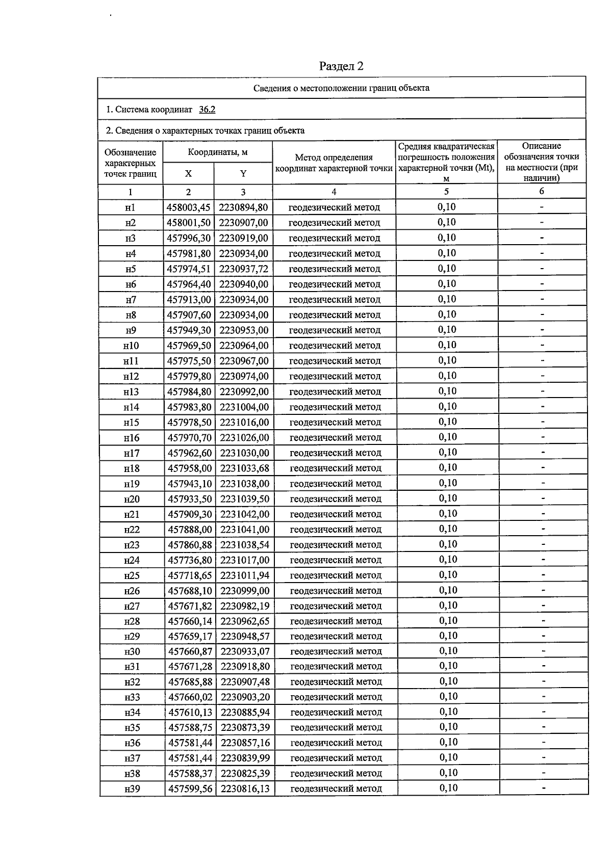
Приказ министерства природных ресурсов и экологии Воронежской области от 29.04.2025 № 192
"Об установлении зон санитарной охраны пяти существующих скважин № 1, № 2, № 3, № 4, № 5 для питьевого, хозяйственно-бытового водоснабжения населения и организаций с. Елань-Колено МКП "Коленовское"
(Зарегистрирован 13.05.2025 № 523)
Номер опубликования: 3601202505150003
Дата опубликования: 15.05.2025
Страница №17 из 19:
Увеличить