Официальное опубликование правовых актов
ОФИЦИАЛЬНОЕ ОПУБЛИКОВАНИЕ
Приказ министерства архитектуры и градостроительства Воронежской области от 28.03.2025 № 45-01-04/179
"О внесении изменений в правила землепользования и застройки Копанищенского сельского поселения Лискинского муниципального района Воронежской области"
(Зарегистрирован 16.04.2025 № 425)
Номер опубликования: 3601202504210016
Дата опубликования: 21.04.2025
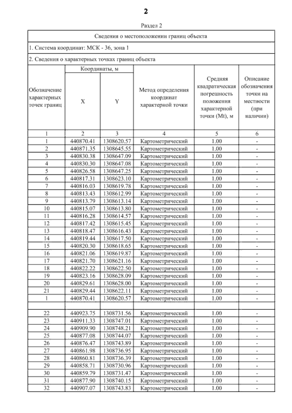
Страница №32 из 45:
Увеличить