Официальное опубликование правовых актов
ОФИЦИАЛЬНОЕ ОПУБЛИКОВАНИЕ
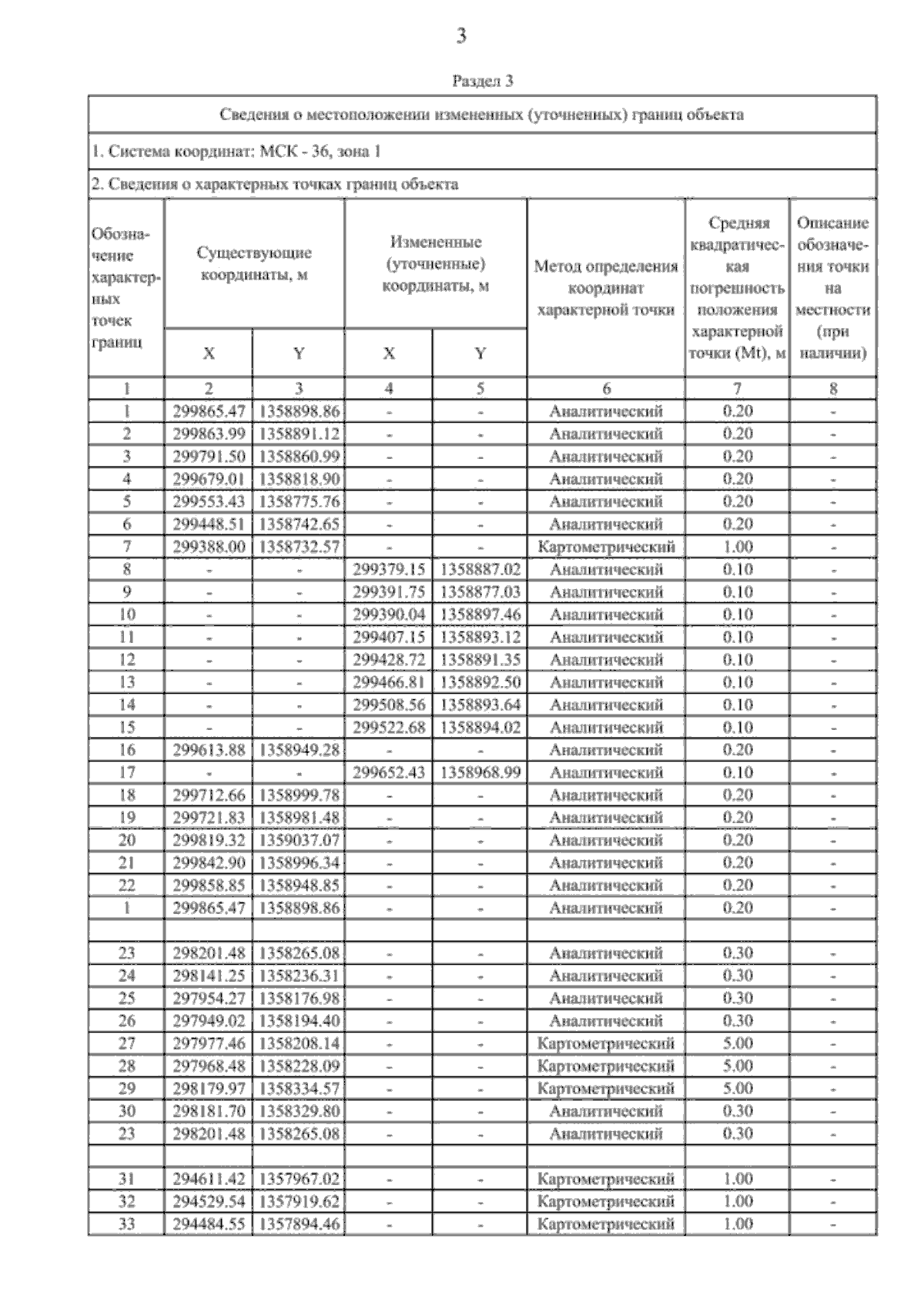
Приказ министерства архитектуры и градостроительства Воронежской области от 28.03.2025 № 45-01-04/181
"О внесении изменений в правила землепользования и застройки Зайцевского сельского поселения Кантемировского муниципального района Воронежской области"
(Зарегистрирован 16.04.2025 № 427)
Номер опубликования: 3601202504210014
Дата опубликования: 21.04.2025
Страница №35 из 36:
Увеличить