Официальное опубликование правовых актов
ОФИЦИАЛЬНОЕ ОПУБЛИКОВАНИЕ
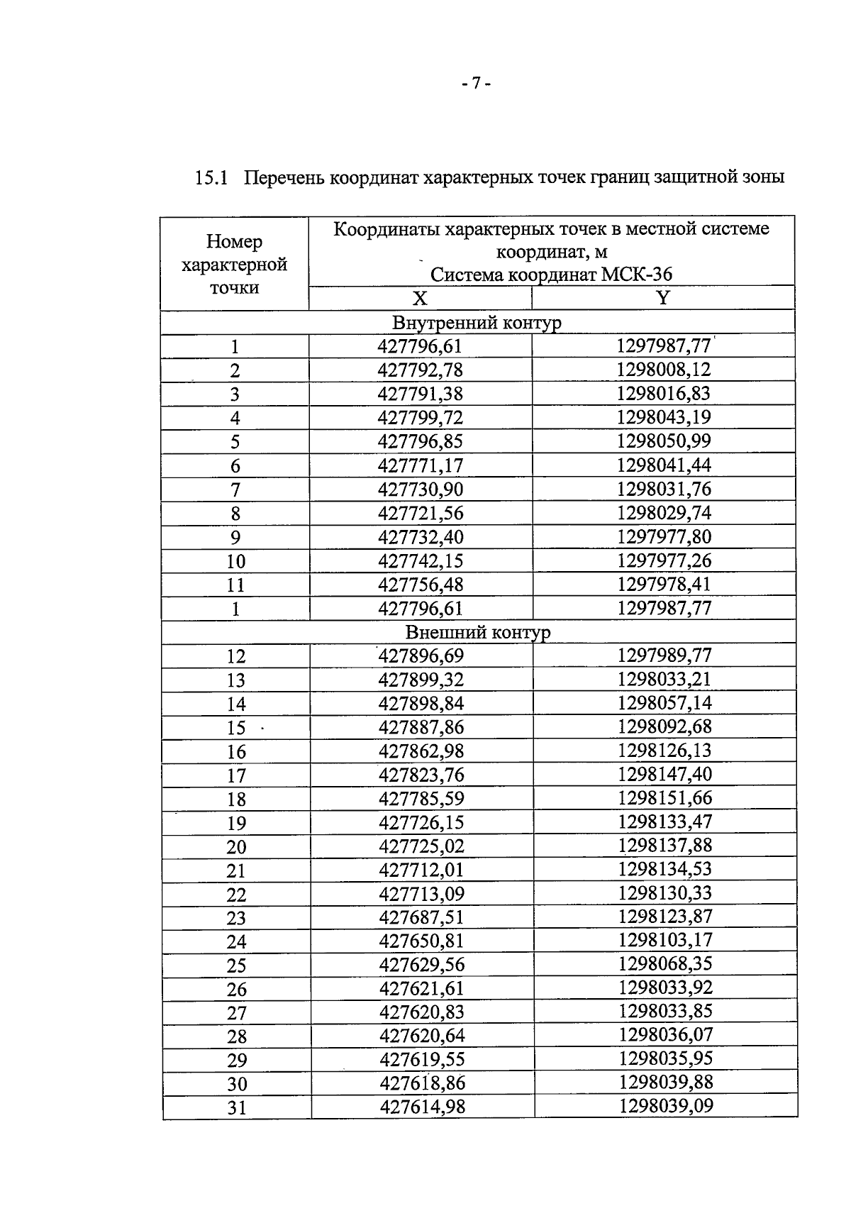
Приказ управления по охране объектов культурного наследия Воронежской области от 02.04.2025 № 71-01-05/61
"О внесении изменений в приказ управления по охране объектов культурного наследия Воронежской области от 14.11.2019 № 71-01-07/289"
(Зарегистрирован 09.04.2025 № 402)
Номер опубликования: 3601202504160008
Дата опубликования: 16.04.2025
Страница №7 из 8:
Увеличить