Официальное опубликование правовых актов
ОФИЦИАЛЬНОЕ ОПУБЛИКОВАНИЕ
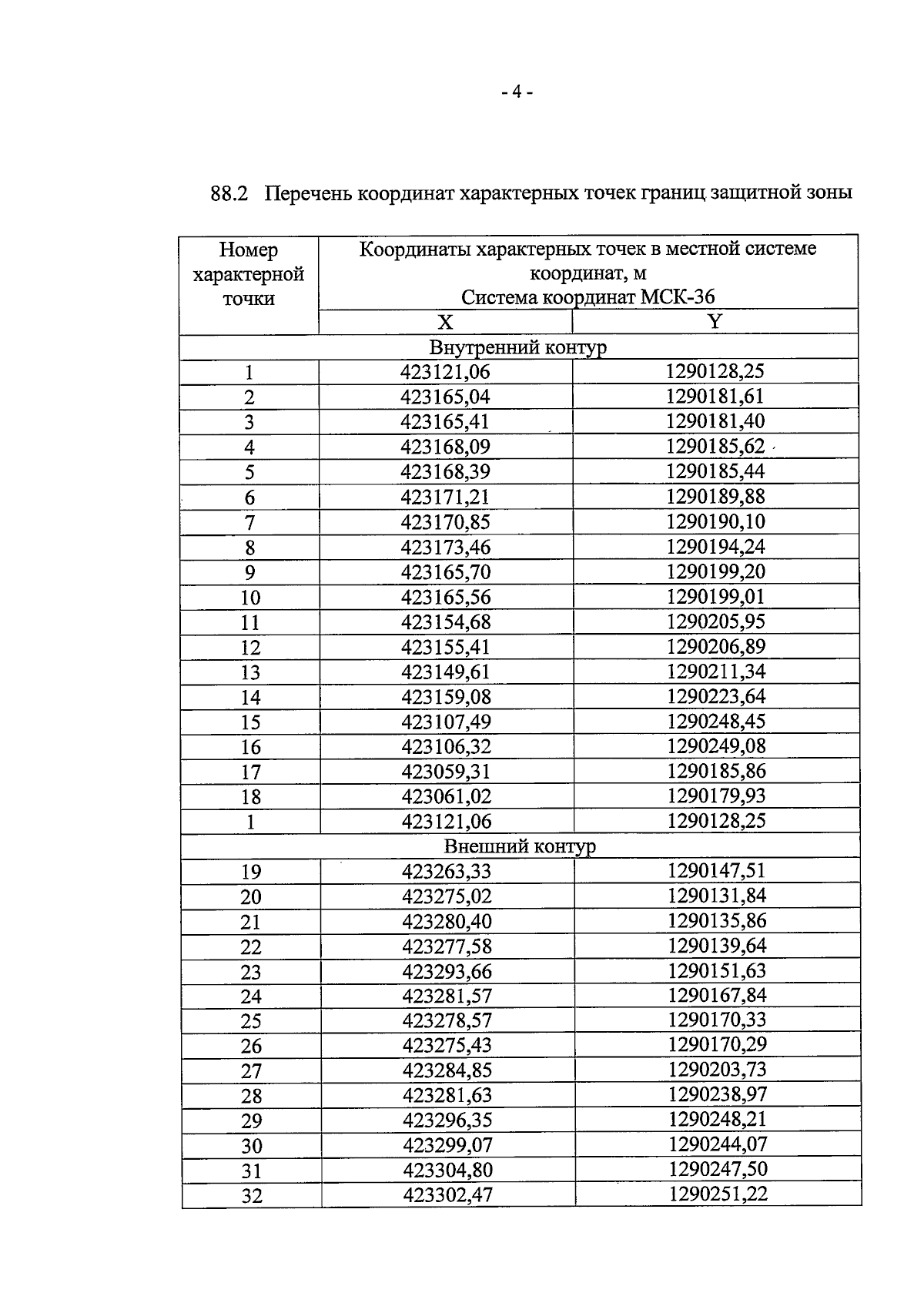
Приказ управления по охране объектов культурного наследия Воронежской области от 02.04.2025 № 71-01-05/60
"О внесении изменения в приказ управления по охране объектов культурного наследия Воронежской области от 04.12.2018 № 71-01-07/266"
(Зарегистрирован 09.04.2025 № 401)
Номер опубликования: 3601202504160005
Дата опубликования: 16.04.2025
Страница №4 из 7:
Увеличить