Официальное опубликование правовых актов
ОФИЦИАЛЬНОЕ ОПУБЛИКОВАНИЕ
Приказ министерства архитектуры и градостроительства Воронежской области от 26.02.2025 № 45-01-04/70
"О внесении изменений в правила землепользования и застройки Рамонского городского поселения Рамонского муниципального района Воронежской области"
(Зарегистрирован 13.03.2025 № 213)
Номер опубликования: 3601202503170015
Дата опубликования: 17.03.2025
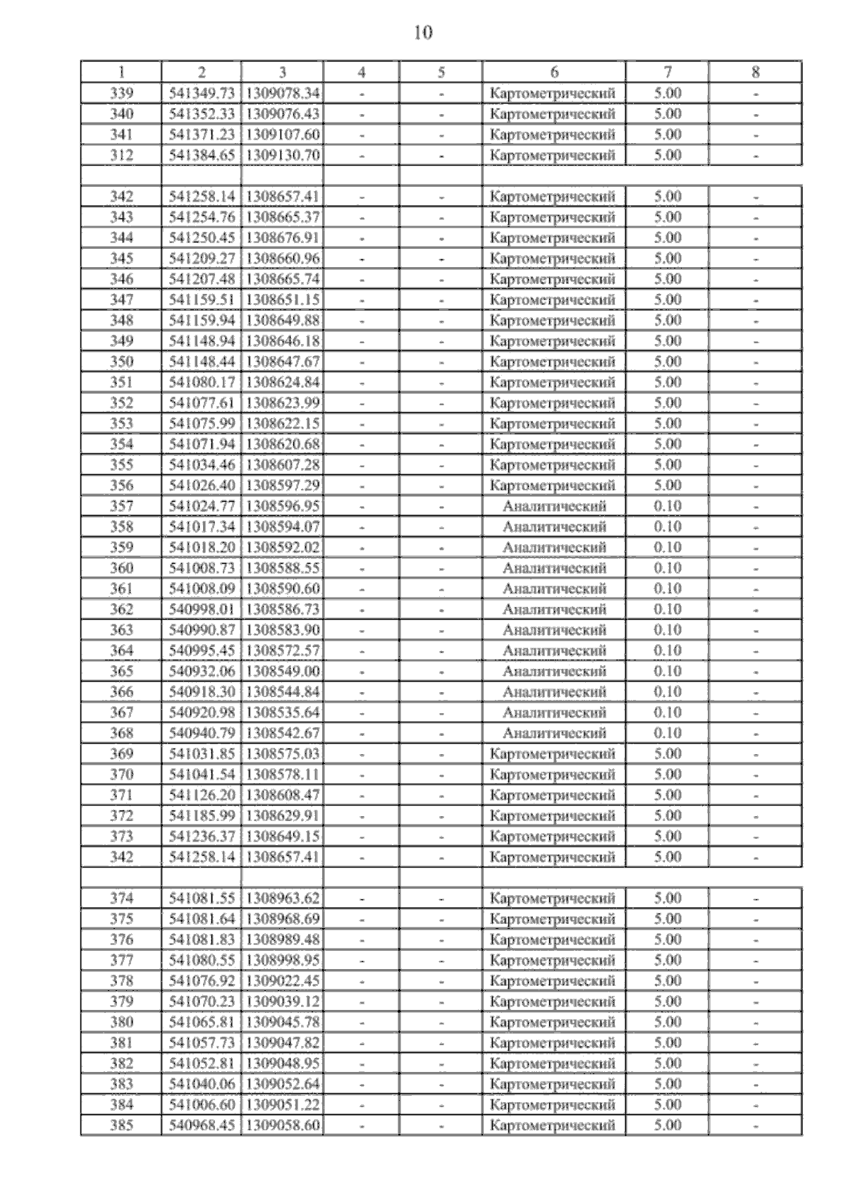
Страница №96 из 111:
Увеличить