Официальное опубликование правовых актов
ОФИЦИАЛЬНОЕ ОПУБЛИКОВАНИЕ
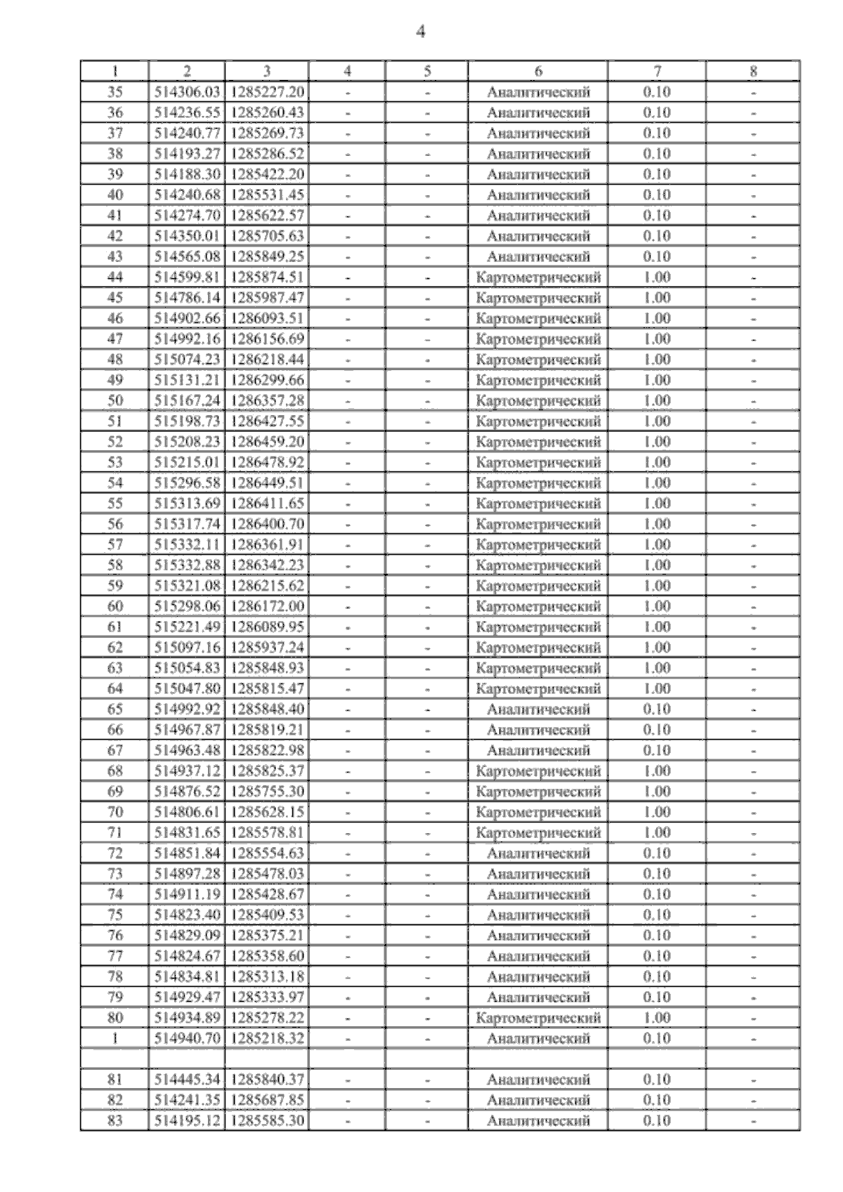
Приказ министерства архитектуры и градостроительства Воронежской области от 13.02.2025 № 45-01-04/52
"О внесении изменений в правила землепользования и застройки Девицкого сельского поселения Семилукского муниципального района Воронежской области"
(Зарегистрирован 05.03.2025 № 170)
Номер опубликования: 3601202503060008
Дата опубликования: 06.03.2025
Страница №92 из 199:
Увеличить