Официальное опубликование правовых актов
ОФИЦИАЛЬНОЕ ОПУБЛИКОВАНИЕ
Приказ министерства архитектуры и градостроительства Воронежской области от 13.02.2025 № 45-01-04/51
"О внесении изменений в правила землепользования и застройки Октябрьского сельского поселения Бобровского муниципального района Воронежской области"
(Зарегистрирован 05.03.2025 № 169)
Номер опубликования: 3601202503060006
Дата опубликования: 06.03.2025
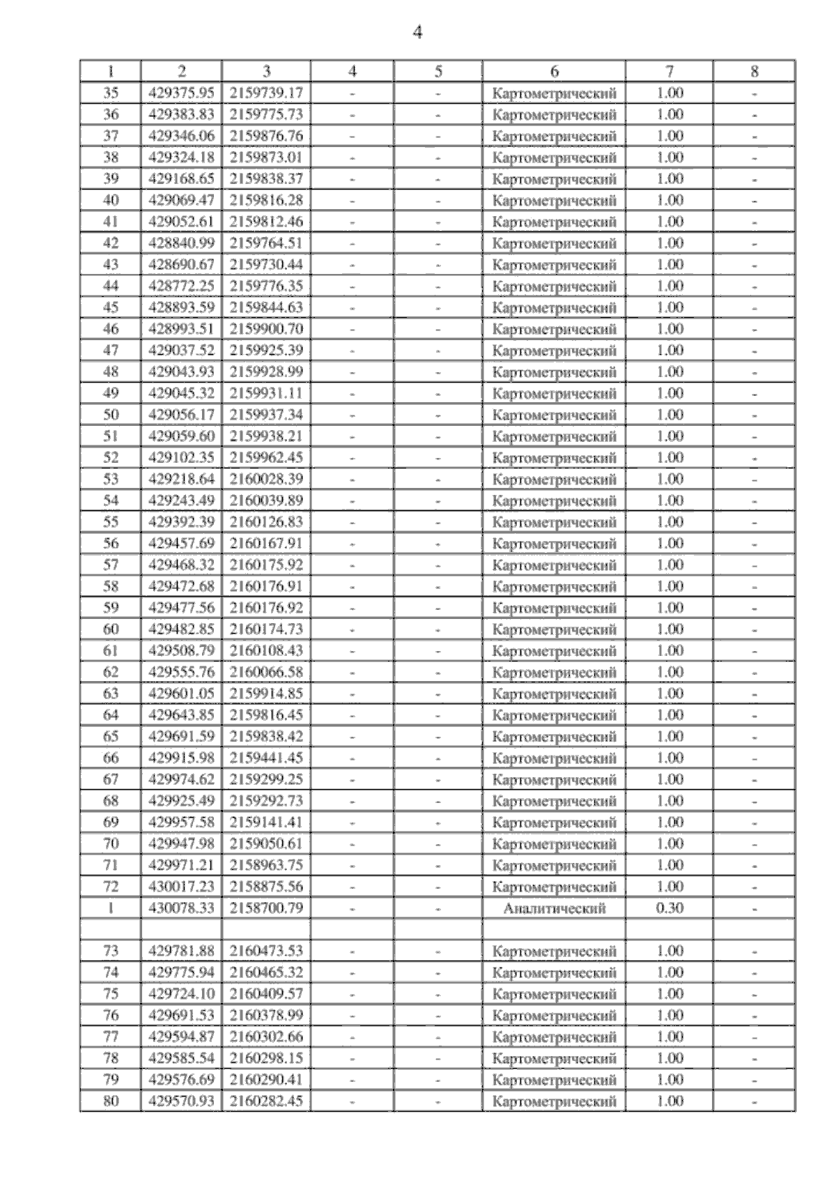
Страница №9 из 18:
Увеличить