Официальное опубликование правовых актов
ОФИЦИАЛЬНОЕ ОПУБЛИКОВАНИЕ
Приказ министерства архитектуры и градостроительства Воронежской области от 28.01.2025 № 45-01-04/29
"О внесении изменений в правила землепользования и застройки Борисоглебского городского округа Воронежской области"
(Зарегистрирован 18.02.2025 № 83)
Номер опубликования: 3601202502190010
Дата опубликования: 19.02.2025
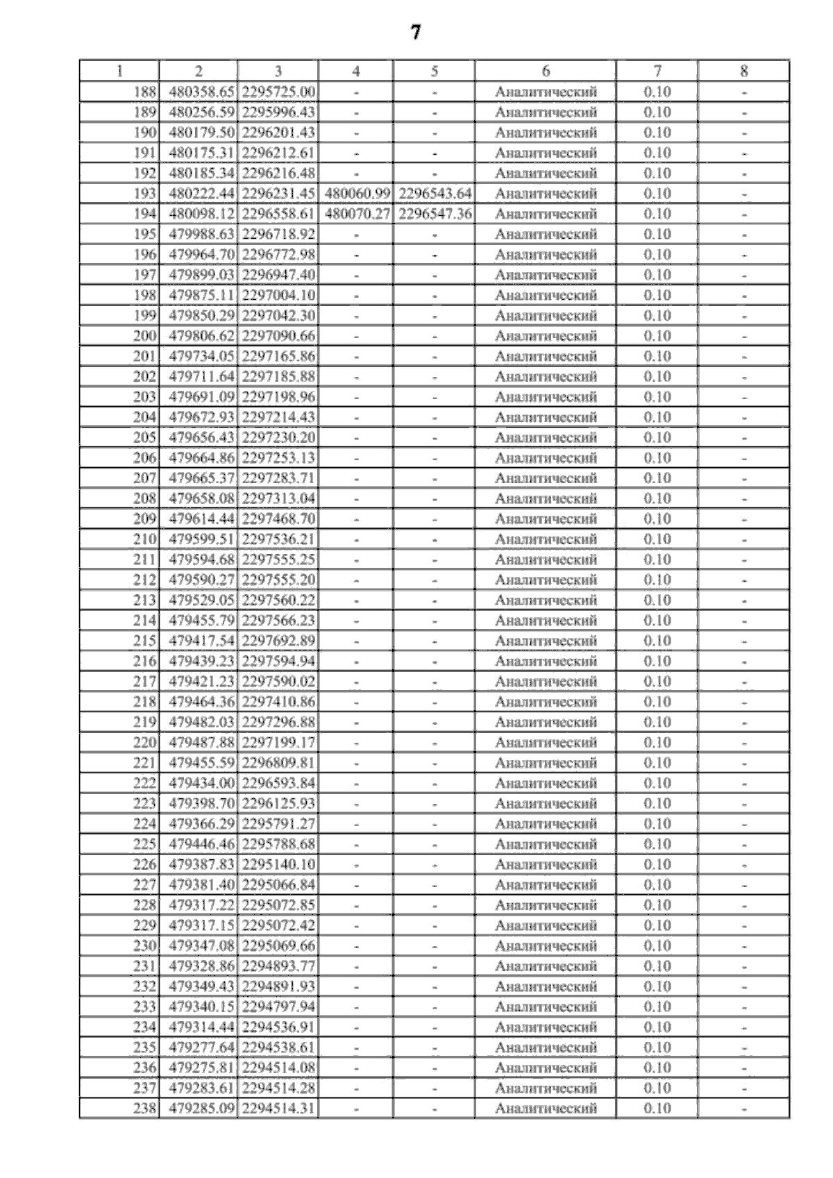
Страница №350 из 780:
Увеличить