Официальное опубликование правовых актов
ОФИЦИАЛЬНОЕ ОПУБЛИКОВАНИЕ
Приказ министерства архитектуры и градостроительства Воронежской области от 27.01.2025 № 45-01-04/25
"О внесении изменений в правила землепользования и застройки городского поселения – город Эртиль Эртильского муниципального района Воронежской области"
(Зарегистрирован 18.02.2025 № 97)
Номер опубликования: 3601202502190008
Дата опубликования: 19.02.2025
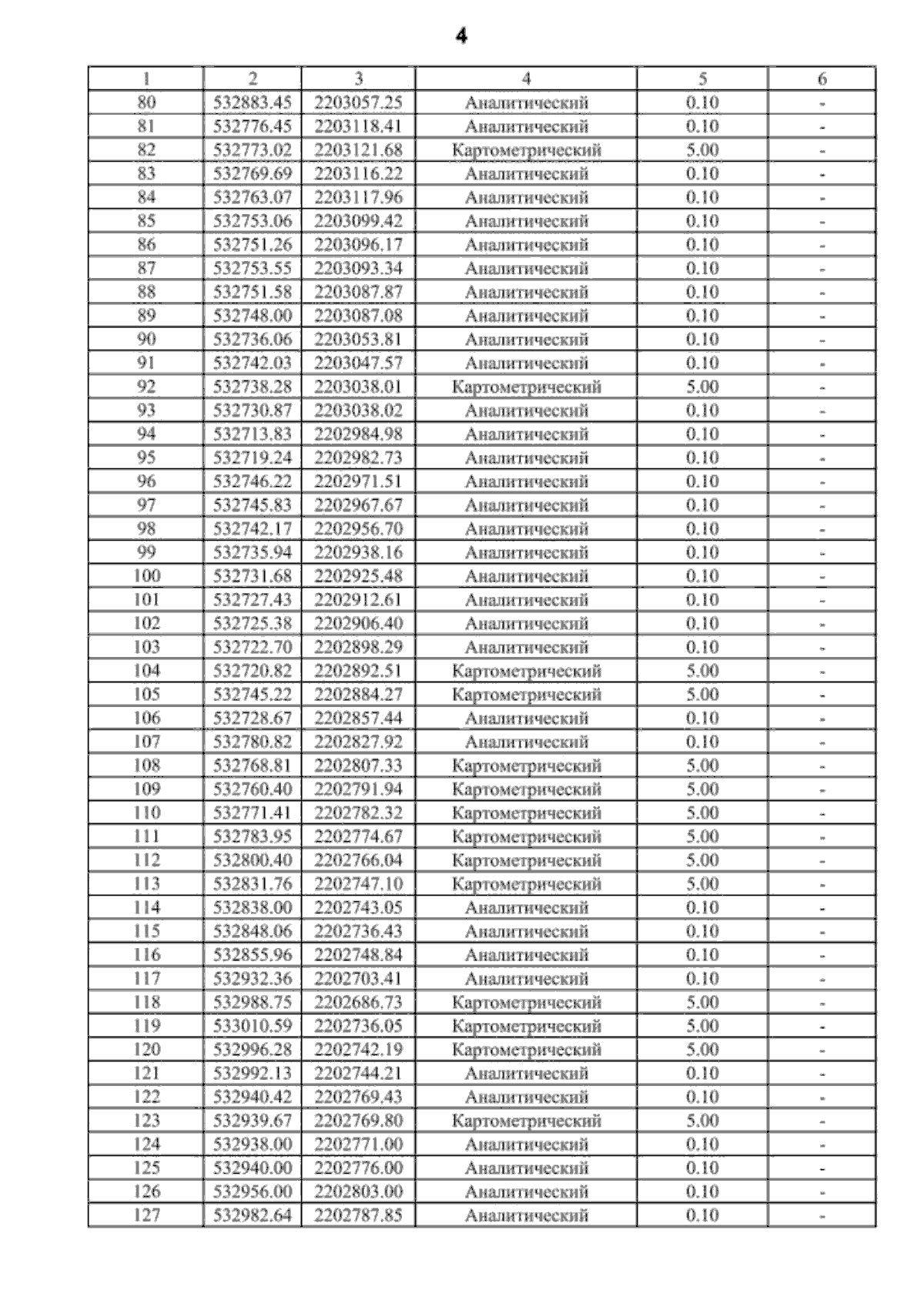
Страница №97 из 326:
Увеличить