Официальное опубликование правовых актов
ОФИЦИАЛЬНОЕ ОПУБЛИКОВАНИЕ
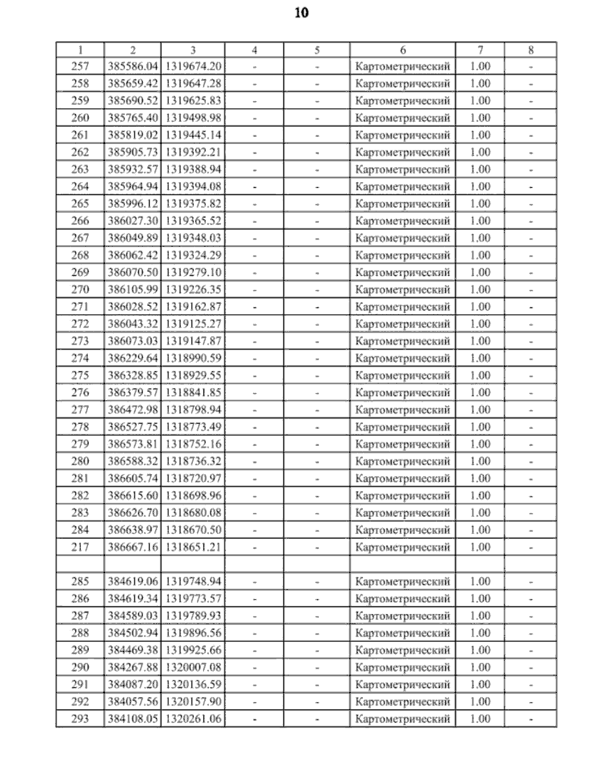
Приказ министерства архитектуры и градостроительства Воронежской области от 28.01.2025 № 45-01-04/26
"О внесении изменений в правила землепользования и застройки Гончаровского сельского поселения Подгоренского муниципального района Воронежской области"
(Зарегистрирован 18.02.2025 № 98)
Номер опубликования: 3601202502180002
Дата опубликования: 18.02.2025
Страница №15 из 26:
Увеличить