Официальное опубликование правовых актов
ОФИЦИАЛЬНОЕ ОПУБЛИКОВАНИЕ
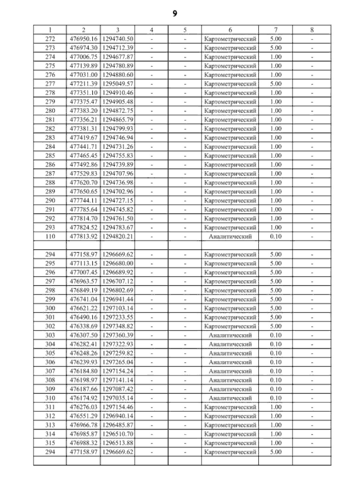
Приказ министерства архитектуры и градостроительства Воронежской области от 28.01.2025 № 45-01-04/27
"О внесении изменений в правила землепользования и застройки Борщёвского сельского поселения Хохольского муниципального района Воронежской области"
(Зарегистрирован 18.02.2025 № 99)
Номер опубликования: 3601202502180001
Дата опубликования: 18.02.2025
Страница №34 из 41:
Увеличить