Официальное опубликование правовых актов
ОФИЦИАЛЬНОЕ ОПУБЛИКОВАНИЕ
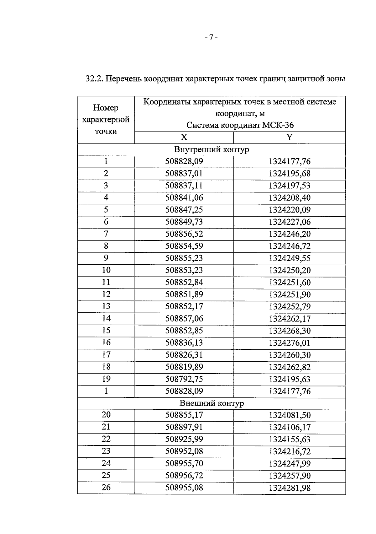
Приказ управления по охране объектов культурного наследия Воронежской области от 13.01.2025 № 71-01-05/3
"О внесении изменений в приказ управления по охране объектов культурного наследия Воронежской области от 12.11.2019 № 71-01-07/288"
(Зарегистрирован 30.01.2025 № 28)
Номер опубликования: 3601202501300005
Дата опубликования: 30.01.2025
Страница №7 из 11:
Увеличить