Официальное опубликование правовых актов
ОФИЦИАЛЬНОЕ ОПУБЛИКОВАНИЕ
Приказ управления по охране объектов культурного наследия Воронежской области от 26.12.2024 № 71-01-07/705
"О внесении изменения в приказ управления по охране объектов культурного наследия Воронежской области от 04.12.2019 № 71-01-07/339"
(Зарегистрирован 23.01.2025 № 2221)
Номер опубликования: 3601202501270028
Дата опубликования: 27.01.2025
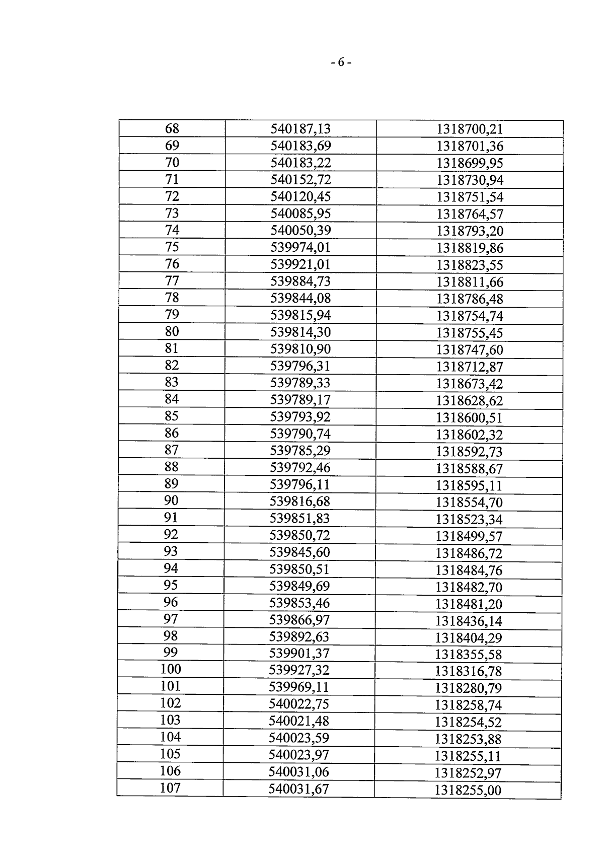
Страница №6 из 10:
Увеличить