Официальное опубликование правовых актов
ОФИЦИАЛЬНОЕ ОПУБЛИКОВАНИЕ
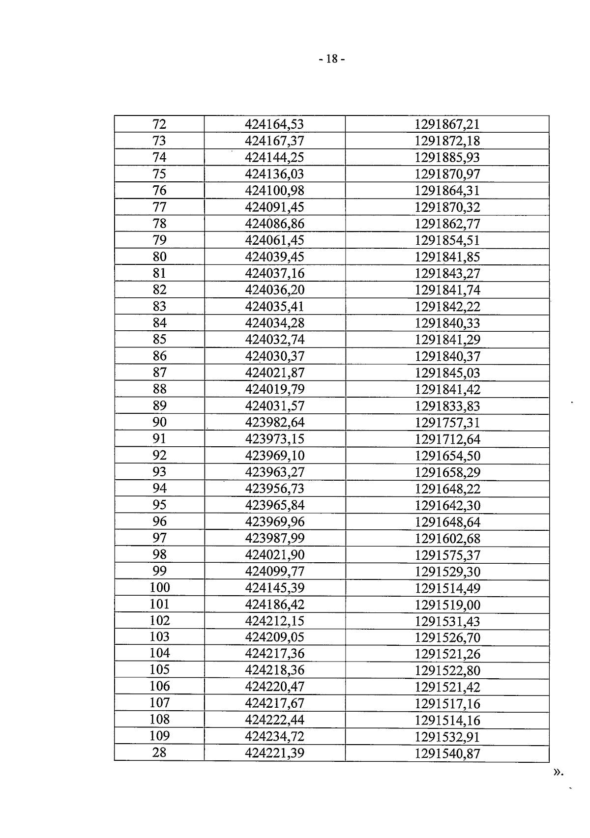
Приказ управления по охране объектов культурного наследия Воронежской области от 13.01.2025 № 71-01-05/2
"О внесении изменений в приказ управления по охране объектов культурного наследия Воронежской области от 16.04.2019 № 71-01-07/104"
(Зарегистрирован 27.01.2025 № 9)
Номер опубликования: 3601202501270024
Дата опубликования: 27.01.2025
Страница №18 из 19:
Увеличить