Официальное опубликование правовых актов
ОФИЦИАЛЬНОЕ ОПУБЛИКОВАНИЕ
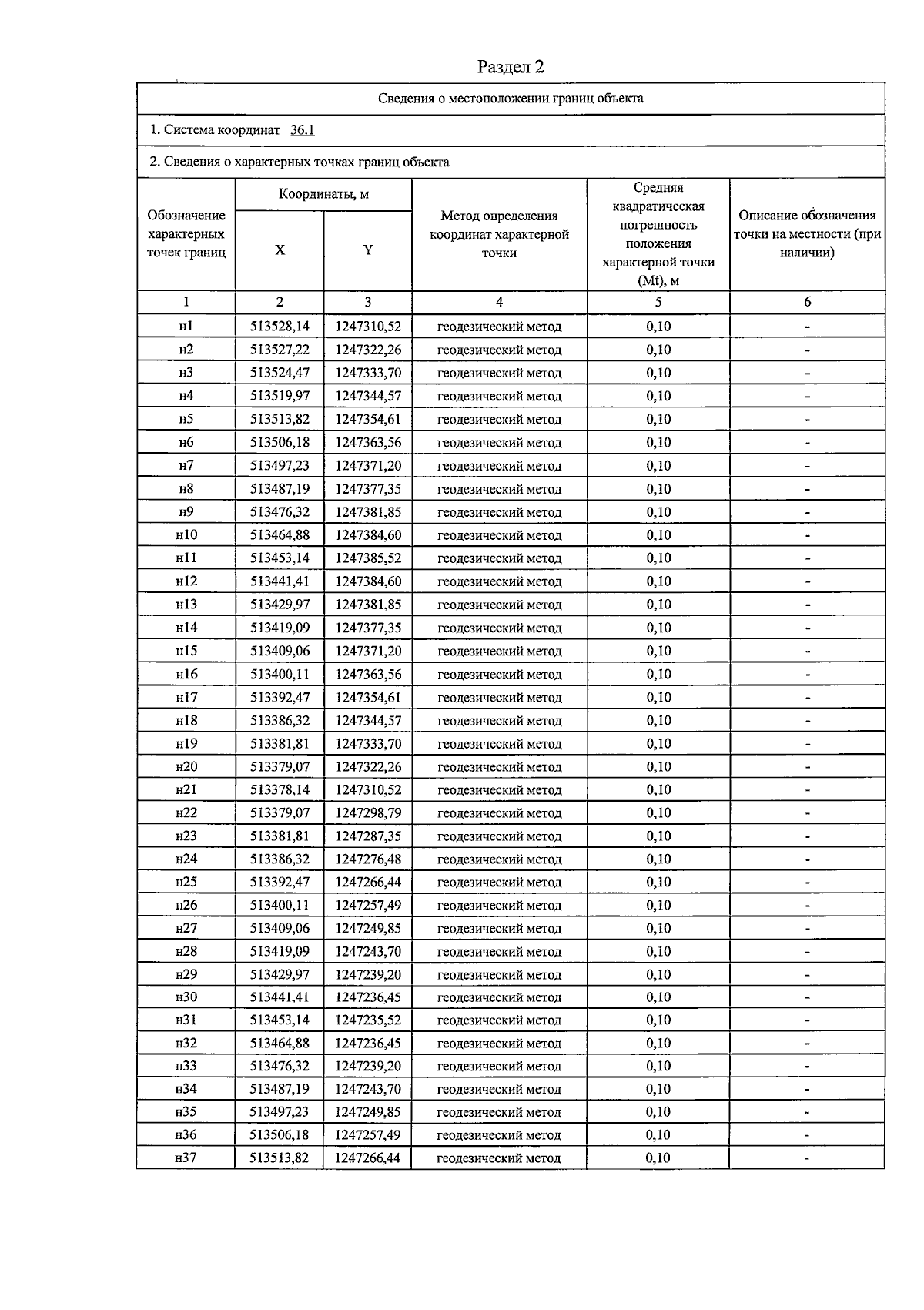
Приказ министерства природных ресурсов и экологии Воронежской области от 28.12.2024 № 505
"Об установлении зон санитарной охраны существующей скважины № 1 для питьевого, хозяйственно-бытового и технологического водоснабжения железнодорожной станции Избище"
(Зарегистрирован 23.01.2025 № 2226)
Номер опубликования: 3601202501270007
Дата опубликования: 27.01.2025
Страница №15 из 17:
Увеличить