Официальное опубликование правовых актов
ОФИЦИАЛЬНОЕ ОПУБЛИКОВАНИЕ
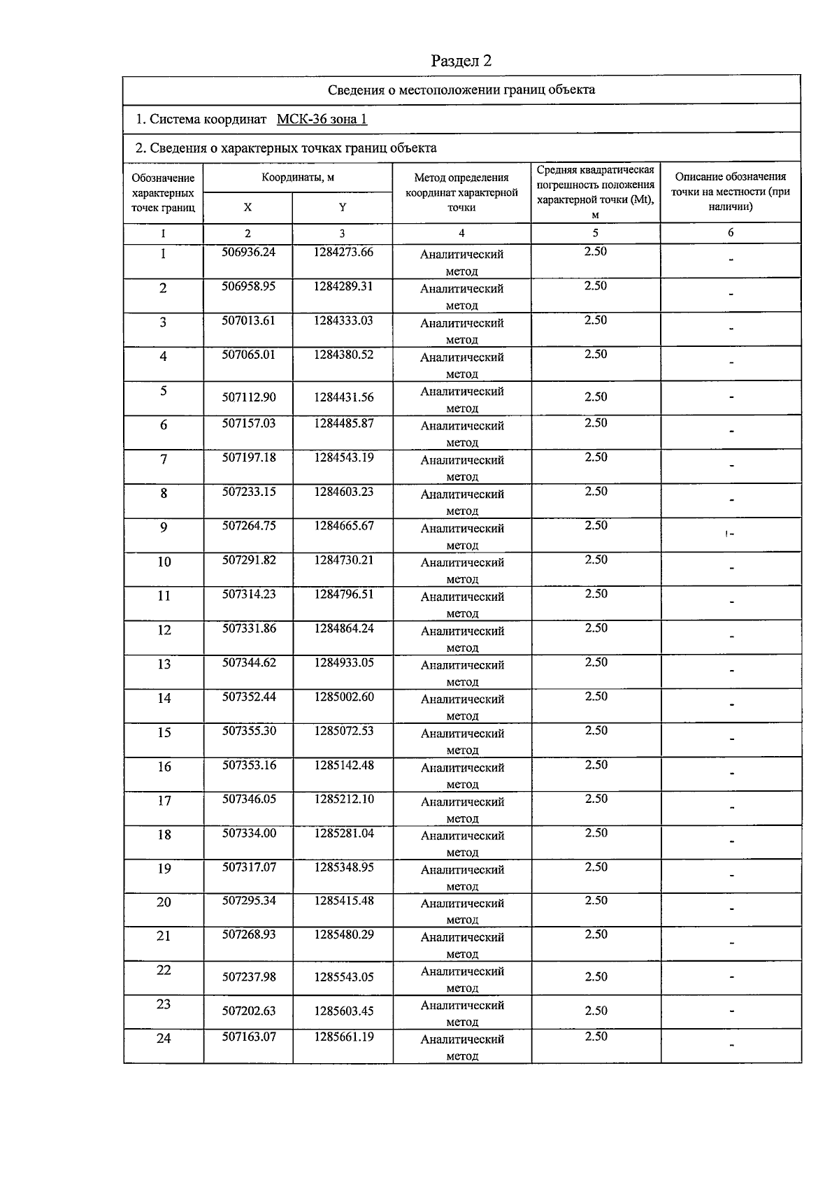
Приказ министерства природных ресурсов и экологии Воронежской области от 29.11.2024 № 437
"Об установлении зон санитарной охраны существующих скважин № 28484/2, № 62941/4, № 60056/5 для питьевого и хозяйственно-бытового водоснабжения КУЗВО "ВОКПНД"
(Зарегистрирован 18.12.2024 № 1675)
Номер опубликования: 3601202412200011
Дата опубликования: 20.12.2024
Страница №33 из 37:
Увеличить