Официальное опубликование правовых актов
ОФИЦИАЛЬНОЕ ОПУБЛИКОВАНИЕ
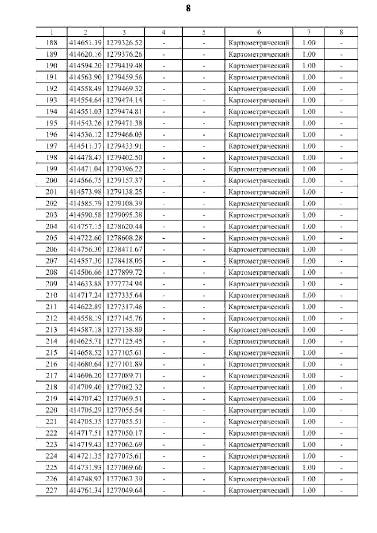
Приказ министерства архитектуры и градостроительства Воронежской области от 13.11.2024 № 45-01-04/517
"О внесении изменений в правила землепользования и застройки Веретьевского сельского поселения Острогожского муниципального района Воронежской области"
(Зарегистрирован 03.12.2024 № 1484)
Номер опубликования: 3601202412050007
Дата опубликования: 05.12.2024
Страница №14 из 47:
Увеличить