Официальное опубликование правовых актов
ОФИЦИАЛЬНОЕ ОПУБЛИКОВАНИЕ
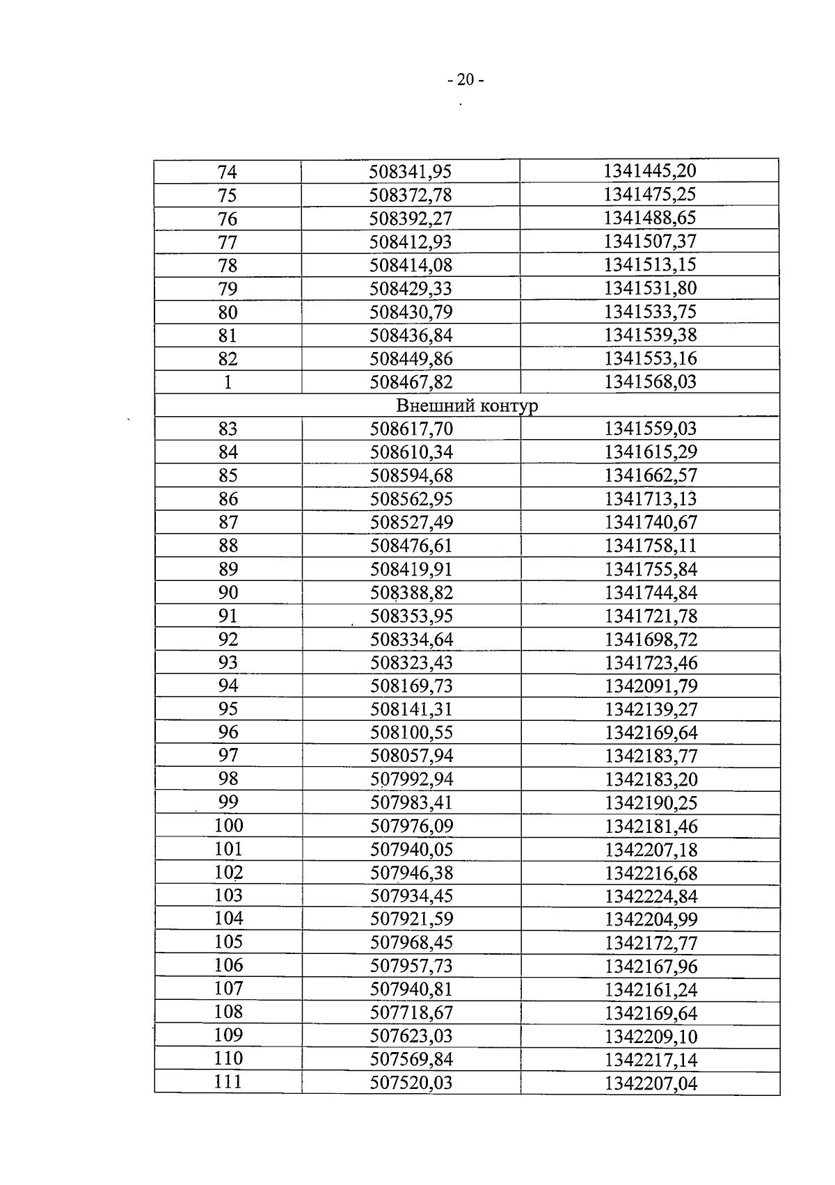
Приказ управления по охране объектов культурного наследия Воронежской области от 14.11.2024 № 71-01-07/551
"О внесении изменений в приказ управления по охране объектов культурного наследия Воронежской области от 12.11.2019 № 71-01-07/288"
(Зарегистрирован 02.12.2024 № 1471)
Номер опубликования: 3601202412040005
Дата опубликования: 04.12.2024
Страница №20 из 28:
Увеличить