Официальное опубликование правовых актов
ОФИЦИАЛЬНОЕ ОПУБЛИКОВАНИЕ
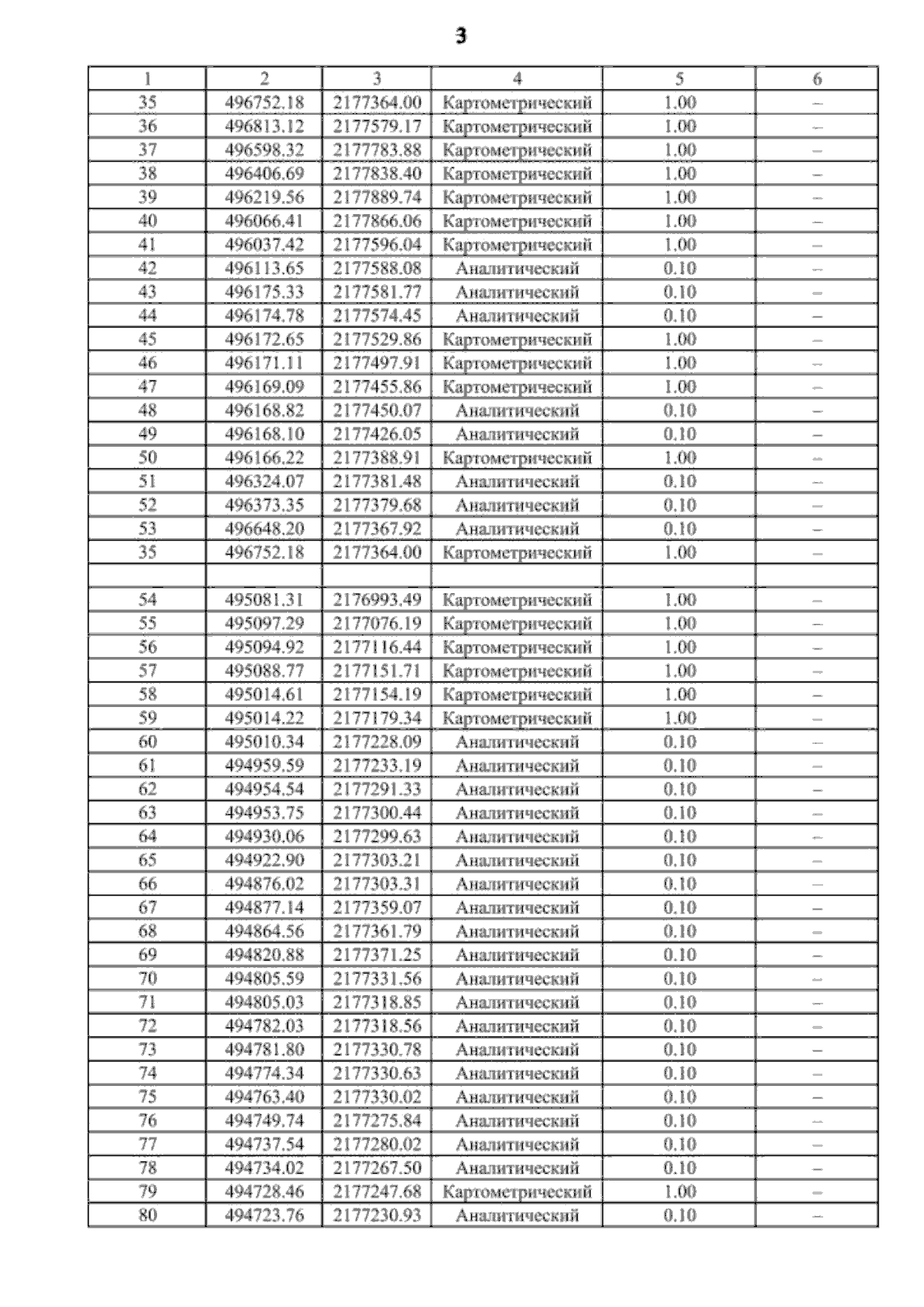
Приказ министерства архитектуры и градостроительства Воронежской области от 08.11.2024 № 45-01-04/507
"О внесении изменений в правила землепользования и застройки Аннинского городского поселения Аннинского муниципального района Воронежской области"
(Зарегистрирован 28.11.2024 № 1461)
Номер опубликования: 3601202412030009
Дата опубликования: 03.12.2024
Страница №88 из 129:
Увеличить