Официальное опубликование правовых актов
ОФИЦИАЛЬНОЕ ОПУБЛИКОВАНИЕ
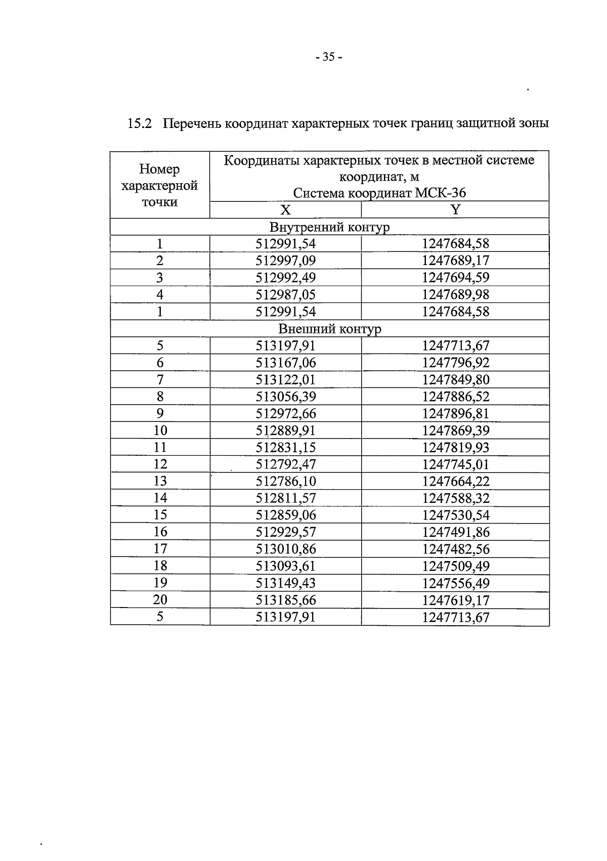
Приказ управления по охране объектов культурного наследия Воронежской области от 12.11.2024 № 71-01-07/546
"О внесении изменений в приказ управления по охране объектов культурного наследия Воронежской области от 11.11.2019 № 71-01-07/278"
(Зарегистрирован 28.11.2024 № 1448)
Номер опубликования: 3601202412020002
Дата опубликования: 02.12.2024
Страница №35 из 50:
Увеличить