Официальное опубликование правовых актов
ОФИЦИАЛЬНОЕ ОПУБЛИКОВАНИЕ
Приказ министерства архитектуры и градостроительства Воронежской области от 02.11.2024 № 45-01-04/495
"О внесении изменений в правила землепользования и застройки Старохворостанского сельского поселения Лискинского муниципального района Воронежской области"
(Зарегистрирован 21.11.2024 № 1410)
Номер опубликования: 3601202411220006
Дата опубликования: 22.11.2024
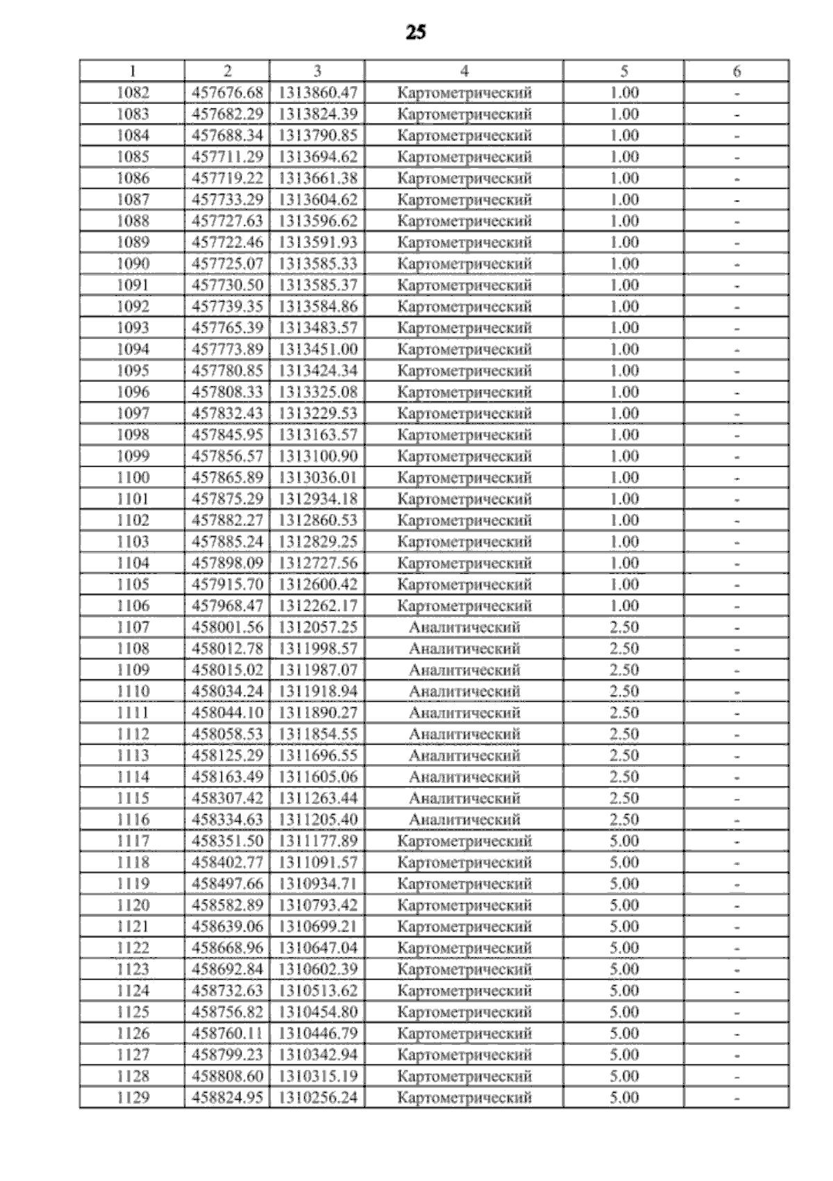
Страница №67 из 73:
Увеличить