Приказ министерства тарифного регулирования Воронежской области от 12.11.2024 № 49/3
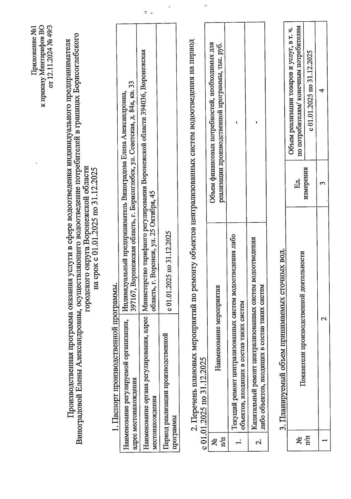
"Об установлении тарифов на транспортировку сточных вод для индивидуального предпринимателя Виноградовой Елены Александровны, осуществляющего водоотведение в границах Борисоглебского городского округа Воронежской области, на 2025 год"
(Зарегистрирован 15.11.2024 № 1359)
"Об установлении тарифов на транспортировку сточных вод для индивидуального предпринимателя Виноградовой Елены Александровны, осуществляющего водоотведение в границах Борисоглебского городского округа Воронежской области, на 2025 год"
(Зарегистрирован 15.11.2024 № 1359)
Номер опубликования: 3601202411180006
Дата опубликования:
18.11.2024
