Официальное опубликование правовых актов
ОФИЦИАЛЬНОЕ ОПУБЛИКОВАНИЕ
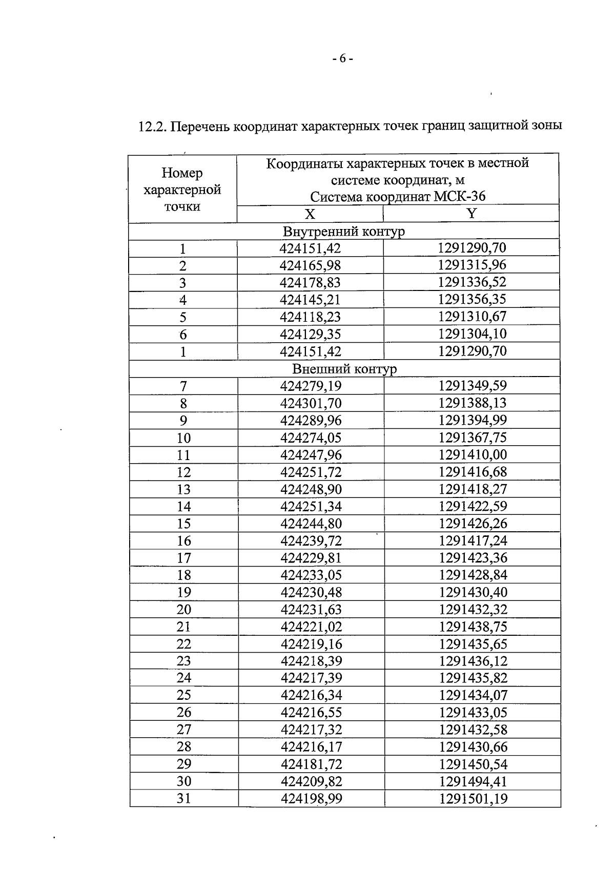
Приказ управления по охране объектов культурного наследия Воронежской области от 21.10.2024 № 71-01-07/463
"О внесении изменений в приказ управления по охране объектов культурного наследия Воронежской области от 16.04.2019 № 71-01-07/104"
(Зарегистрирован 05.11.2024 № 1282)
Номер опубликования: 3601202411060001
Дата опубликования: 06.11.2024
Страница №6 из 8:
Увеличить