Официальное опубликование правовых актов
ОФИЦИАЛЬНОЕ ОПУБЛИКОВАНИЕ
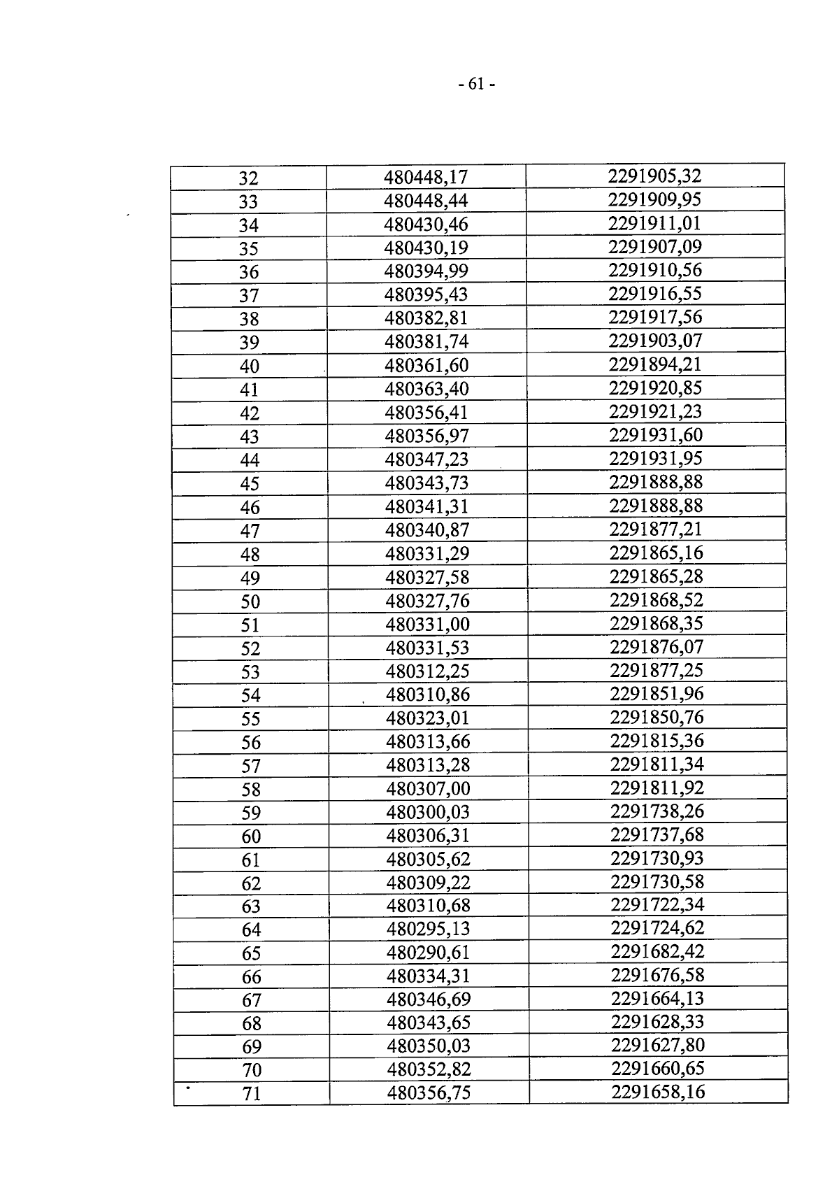
Приказ управления по охране объектов культурного наследия Воронежской области от 27.09.2024 № 71-01-07/446
"О внесении изменений в приказ управления по охране объектов культурного наследия Воронежской области от 04.12.2018 № 71-01-07/266"
(Зарегистрирован 11.10.2024 № 1165)
Номер опубликования: 3601202410140005
Дата опубликования: 14.10.2024
Страница №61 из 85:
Увеличить